🇳🇴 🇬🇧 🇩🇪 🇨🇿 🇫🇮

Meteor Svortlandin yllä 2024-12-03 05:57:26 UTC

KML-tiedosto  |  Interaktiivinen kartta

Kartta näyttää meteorin suuntahavainnot. Vaaleammat viivat näyttävät suunnat havaintoasemilta meteorin ilmestyessä, ja tummemmat viivat näyttävät, missä se viimeksi nähtiin. Sininen nuoli näyttää meteorin näkyvän lennon.

static map
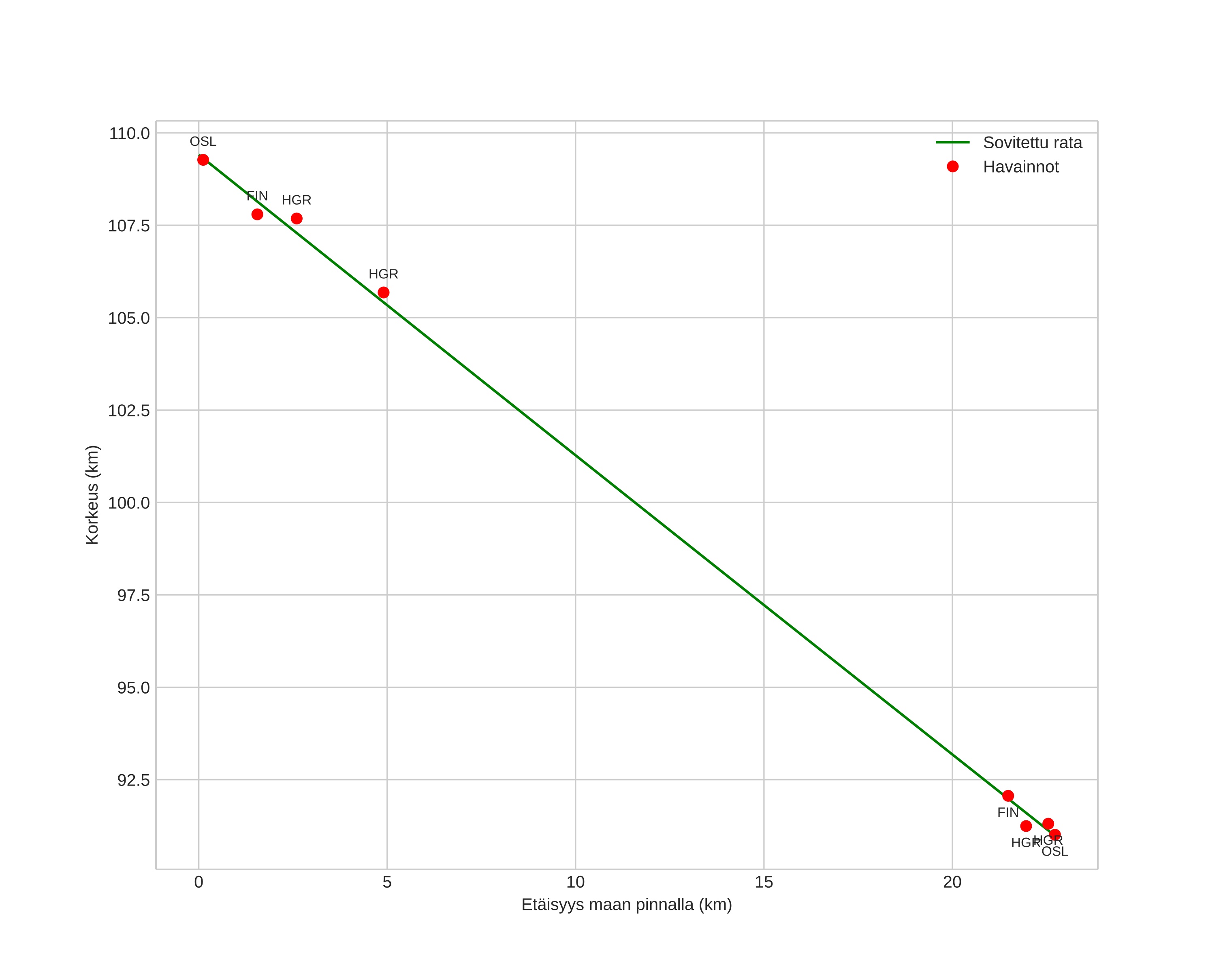
height profile
Meteorin ilmakehärata:
Alkukorkeus: 116,5 km
Loppukorkeus: 90,1 km
Alkupiste: 59,450N 4,768E
Loppupiste: 59,684N 5,193E
Suunta: 42,5°
Kallistuskulma: 36,7°
Tulonopeus: 54,3 km/s
Radiantin R,A,: 08:48 (132,2°)
Radiantin Dekl,: 11,8°
Meteoriparvi: Sporadinen
Meteoroidin rataelementit:
Perihelietäisyys: 0,164 AU
Eksentrisyys: 0,849
Inklinaatio: 161,2°
Nousevan solmun pituus: 71,2°
Perihelin argumentti: 144,5°
Keskianomalia: 324,9°
Epookki: 2024 DEC 03 05:57:26
orbit plot

Ei-interaktiivinen kuvaaja | Interaktiivinen kuvaaja

position vs time
speed and acceleration

Hagar (HGR) cam5


gnomonic
Videot:
• Gnomoninen
• Gnomoninen koordinaateilla
• Alkuperäinen
• Alkuperäinen koordinaateilla
Kuvat:
• Gnomoninen
• Gnomoninen koordinaateilla
• Alkuperäinen
• Alkuperäinen koordinaateilla
Tekstitiedostot:
• Havaintoraportti
• Observaatio
• Loki
Kirkkaus