🇳🇴 🇬🇧 🇩🇪 🇨🇿 🇫🇮

Meteor, poloha: Kirkebygda 2024-12-03 15:43:16 UTC

Soubor KML  |  InteraktivnĂ­ mapa

Mapa zobrazuje dráhy meteoru. Světlejší čáry ukazují směry od pozorovacích stanic při objevení se meteoru a tmavší čáry, kde byl naposledy viděn. Modrá šipka značí viditelnou dráhu meteoru.

static map
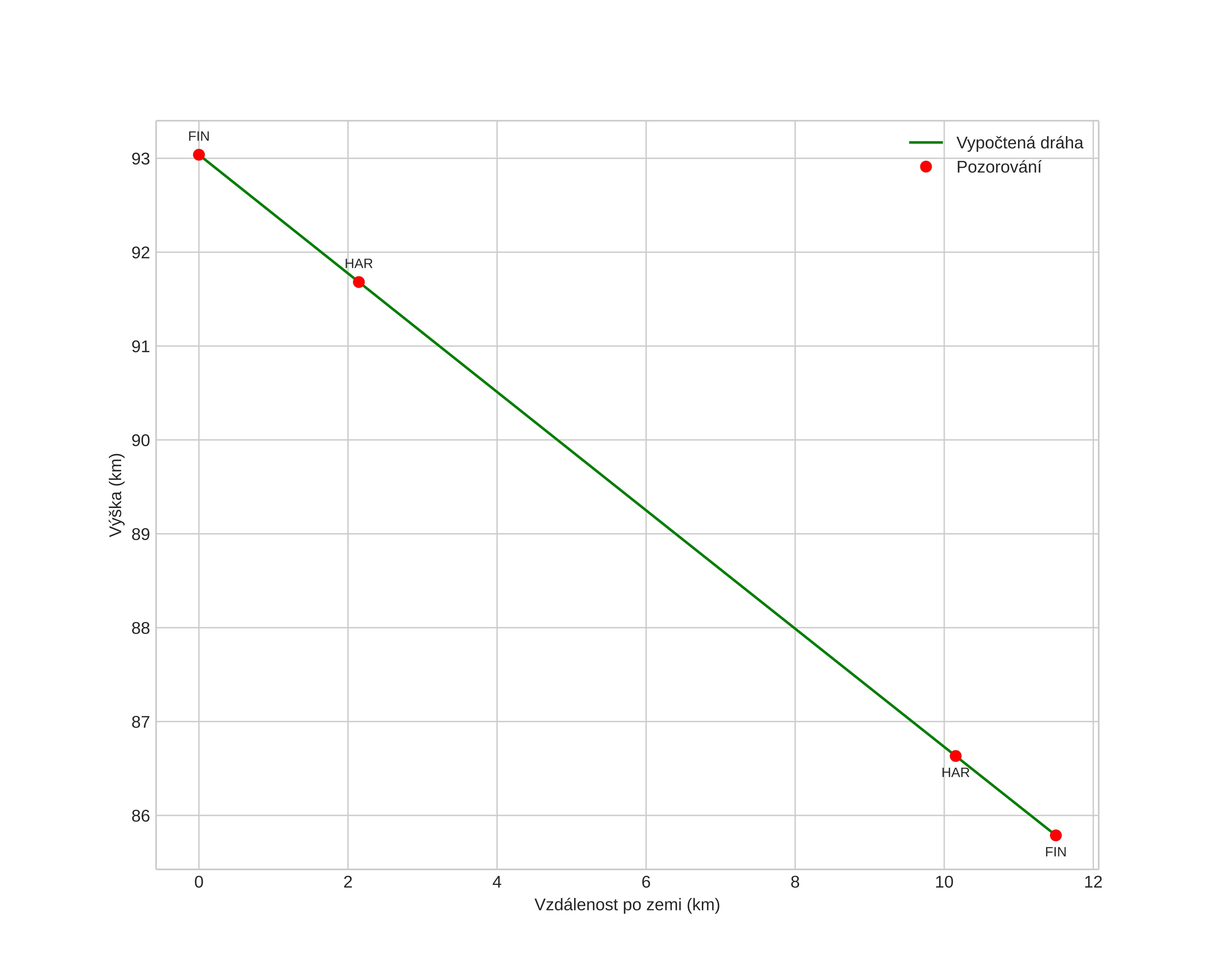
height profile
Atmosférická dráha meteoru:
Počáteční výška: 94,2 km
Konečná výška: 86,6 km
Počáteční poloha: 59,846N 11,090E
Konečná poloha: 59,750N 11,168E
Směr: 157,9°
Sklon: 33,4°
VstupnĂ­ rychlost: 44,2 km/s
Rektascenze radiantu: 11:52 (178,0°)
Deklinace radiantu: 58,9°
MeteorickĂ˝ roj: sporadickĂ˝
Elementy dráhy meteoroidu:
Vzdálenost v periheliu: 0,893 AU
Excentricita: 0,391
Sklon dráhy: 82,5°
Délka vzestupného uzlu: 251,6°
Argument perihelia: 228,4°
Střední anomálie: 339,2°
Epocha: 2024 DEC 03 15:43:16
orbit plot

NeinteraktivnĂ­ graf | InteraktivnĂ­ graf

position vs time
speed and acceleration

Harestua (HAR) cam7


gnomonic
Videa
• Gnomonická
• Gnomonická se souřadnicemi
• Původní
• Původní se souřadnicemi
Obrázky
• Gnomonická
• Gnomonická se souřadnicemi
• Gnomonická s popisky
• Původní
• Původní se souřadnicemi
Textové soubory
• Detekce
• Pozorování
• Souřadnice
• Protokol
Jasnost