🇳🇴 🇬🇧 🇩🇪 🇨🇿 🇫🇮

Meteor Kirkebygdan yllä 2024-12-03 15:43:16 UTC

KML-tiedosto  |  Interaktiivinen kartta

Kartta näyttää meteorin suuntahavainnot. Vaaleammat viivat näyttävät suunnat havaintoasemilta meteorin ilmestyessä, ja tummemmat viivat näyttävät, missä se viimeksi nähtiin. Sininen nuoli näyttää meteorin näkyvän lennon.

static map
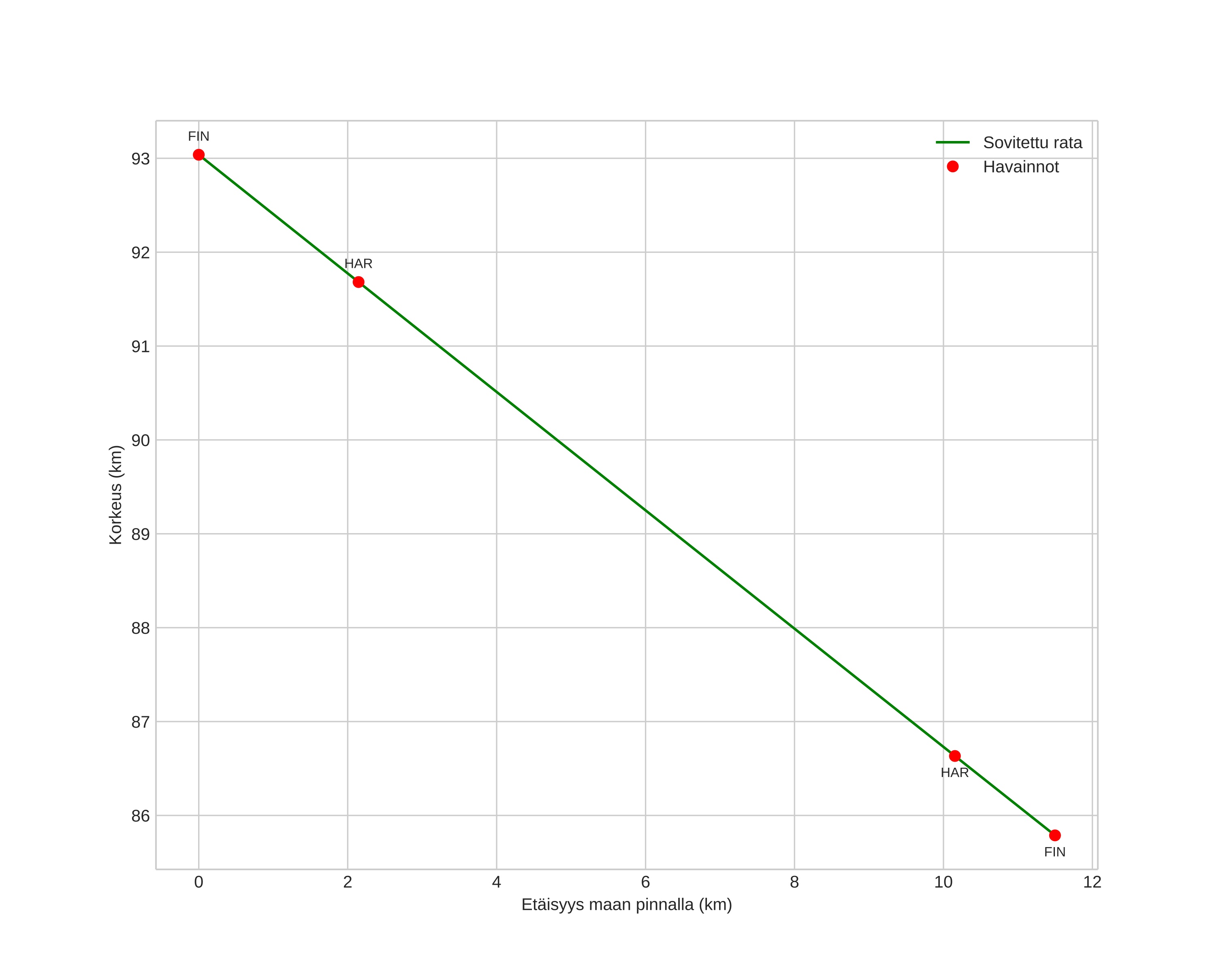
height profile
Meteorin ilmakehärata:
Alkukorkeus: 94,2 km
Loppukorkeus: 86,6 km
Alkupiste: 59,846N 11,090E
Loppupiste: 59,750N 11,168E
Suunta: 157,9°
Kallistuskulma: 33,4°
Tulonopeus: 44,2 km/s
Radiantin R,A,: 11:52 (178,0°)
Radiantin Dekl,: 58,9°
Meteoriparvi: Sporadinen
Meteoroidin rataelementit:
Perihelietäisyys: 0,893 AU
Eksentrisyys: 0,391
Inklinaatio: 82,5°
Nousevan solmun pituus: 251,6°
Perihelin argumentti: 228,4°
Keskianomalia: 339,2°
Epookki: 2024 DEC 03 15:43:16
orbit plot

Ei-interaktiivinen kuvaaja | Interaktiivinen kuvaaja

position vs time
speed and acceleration

Harestua (HAR) cam7


gnomonic
Videot:
• Gnomoninen
• Gnomoninen koordinaateilla
• Alkuperäinen
• Alkuperäinen koordinaateilla
Kuvat:
• Gnomoninen
• Gnomoninen koordinaateilla
• Gnomoninen merkinnöillä
• Alkuperäinen
• Alkuperäinen koordinaateilla
Tekstitiedostot:
• Havaintoraportti
• Observaatio
• Koordinaatit
• Loki
Kirkkaus