🇳🇴 🇬🇧 🇩🇪 🇨🇿 🇫🇮

Meteor, poloha: Torsby 2024-12-03 15:45:39 UTC

Soubor KML  |  InteraktivnĂ­ mapa

Mapa zobrazuje dráhy meteoru. Světlejší čáry ukazují směry od pozorovacích stanic při objevení se meteoru a tmavší čáry, kde byl naposledy viděn. Modrá šipka značí viditelnou dráhu meteoru.

static map
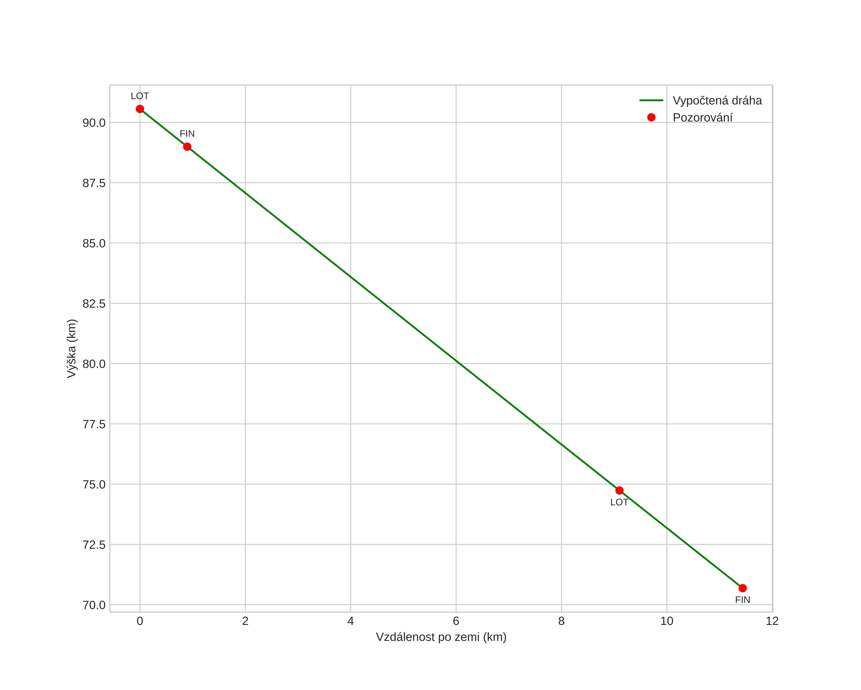
height profile
Atmosférická dráha meteoru:
Počáteční výška: 90,4 km
Konečná výška: 70,8 km
Počáteční poloha: 60,701N 12,464E
Konečná poloha: 60,690N 12,673E
Směr: 95,9°
Sklon: 59,8°
VstupnĂ­ rychlost: 24,8 km/s
Rektascenze radiantu: 17:45 (266,3°)
Deklinace radiantu: 49,6°
MeteorickĂ˝ roj: sporadickĂ˝
Elementy dráhy meteoroidu:
Vzdálenost v periheliu: 0,953 AU
Excentricita: 0,656
Sklon dráhy: 34,3°
Délka vzestupného uzlu: 251,6°
Argument perihelia: 156,6°
Střední anomálie: 3,8°
Epocha: 2024 DEC 03 15:45:39
orbit plot

NeinteraktivnĂ­ graf | InteraktivnĂ­ graf

position vs time
speed and acceleration