🇳🇴 🇬🇧 🇩🇪 🇨🇿 🇫🇮

Meteor Torsbyn yllä 2024-12-03 15:45:39 UTC

KML-tiedosto  |  Interaktiivinen kartta

Kartta näyttää meteorin suuntahavainnot. Vaaleammat viivat näyttävät suunnat havaintoasemilta meteorin ilmestyessä, ja tummemmat viivat näyttävät, missä se viimeksi nähtiin. Sininen nuoli näyttää meteorin näkyvän lennon.

static map
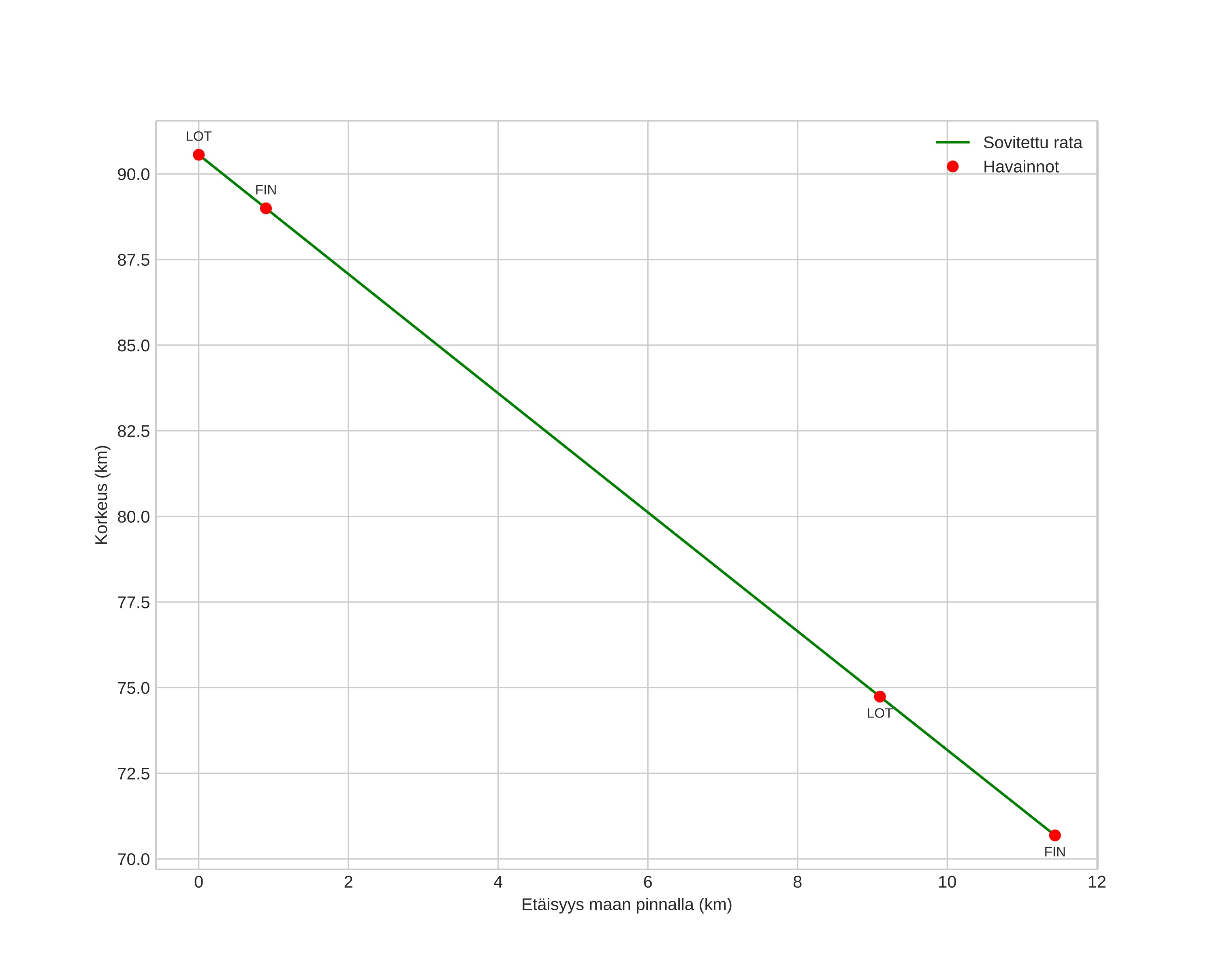
height profile
Meteorin ilmakehärata:
Alkukorkeus: 90,4 km
Loppukorkeus: 70,8 km
Alkupiste: 60,701N 12,464E
Loppupiste: 60,690N 12,673E
Suunta: 95,9°
Kallistuskulma: 59,8°
Tulonopeus: 24,8 km/s
Radiantin R,A,: 17:45 (266,3°)
Radiantin Dekl,: 49,6°
Meteoriparvi: Sporadinen
Meteoroidin rataelementit:
Perihelietäisyys: 0,953 AU
Eksentrisyys: 0,656
Inklinaatio: 34,3°
Nousevan solmun pituus: 251,6°
Perihelin argumentti: 156,6°
Keskianomalia: 3,8°
Epookki: 2024 DEC 03 15:45:39
orbit plot

Ei-interaktiivinen kuvaaja | Interaktiivinen kuvaaja

position vs time
speed and acceleration