🇳🇴 🇬🇧 🇩🇪 🇨🇿 🇫🇮

Meteor, poloha: Heby 2024-12-03 17:36:44 UTC

Soubor KML  |  InteraktivnĂ­ mapa

Mapa zobrazuje dráhy meteoru. Světlejší čáry ukazují směry od pozorovacích stanic při objevení se meteoru a tmavší čáry, kde byl naposledy viděn. Modrá šipka značí viditelnou dráhu meteoru.

static map
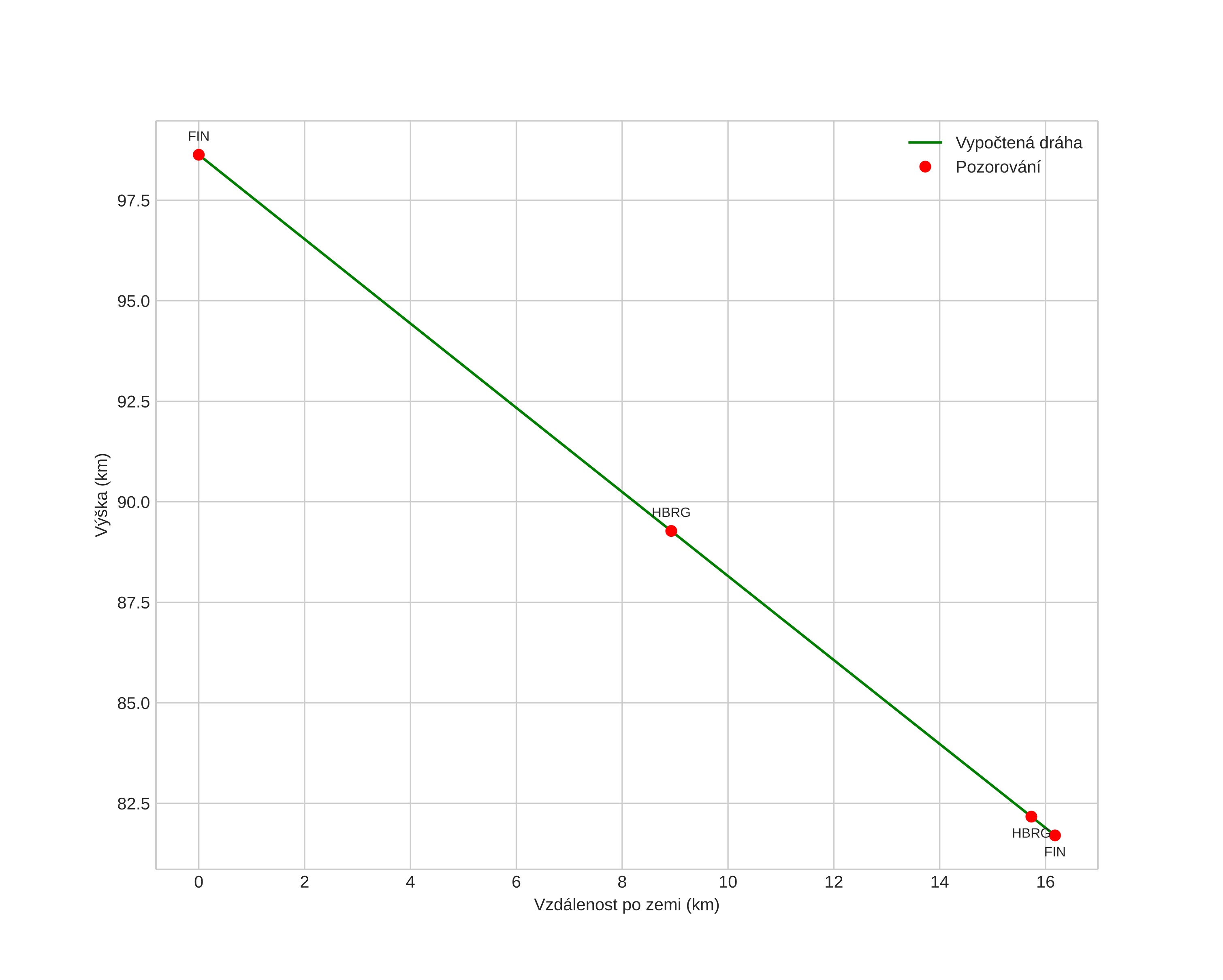
height profile
Atmosférická dráha meteoru:
Počáteční výška: 100,2 km
Konečná výška: 81,6 km
Počáteční poloha: 59,972N 16,997E
Konečná poloha: 59,874N 16,746E
Směr: 232,3°
Sklon: 46,4°
VstupnĂ­ rychlost: 55,5 km/s
Rektascenze radiantu: 05:37 (84,3°)
Deklinace radiantu: 56,8°
MeteorickĂ˝ roj: sporadickĂ˝
Elementy dráhy meteoroidu:
Vzdálenost v periheliu: 0,492 AU
Excentricita: 1,771
Sklon dráhy: 57,7°
Délka vzestupného uzlu: 251,7°
Argument perihelia: 257,5°
Střední anomálie: -52,8°
Epocha: 2024 DEC 03 17:36:44
orbit plot

NeinteraktivnĂ­ graf | InteraktivnĂ­ graf

position vs time
speed and acceleration