🇳🇴 🇬🇧 🇩🇪 🇨🇿 🇫🇮

Meteor Hebyn yllä 2024-12-03 17:36:44 UTC

KML-tiedosto  |  Interaktiivinen kartta

Kartta näyttää meteorin suuntahavainnot. Vaaleammat viivat näyttävät suunnat havaintoasemilta meteorin ilmestyessä, ja tummemmat viivat näyttävät, missä se viimeksi nähtiin. Sininen nuoli näyttää meteorin näkyvän lennon.

static map
height profile
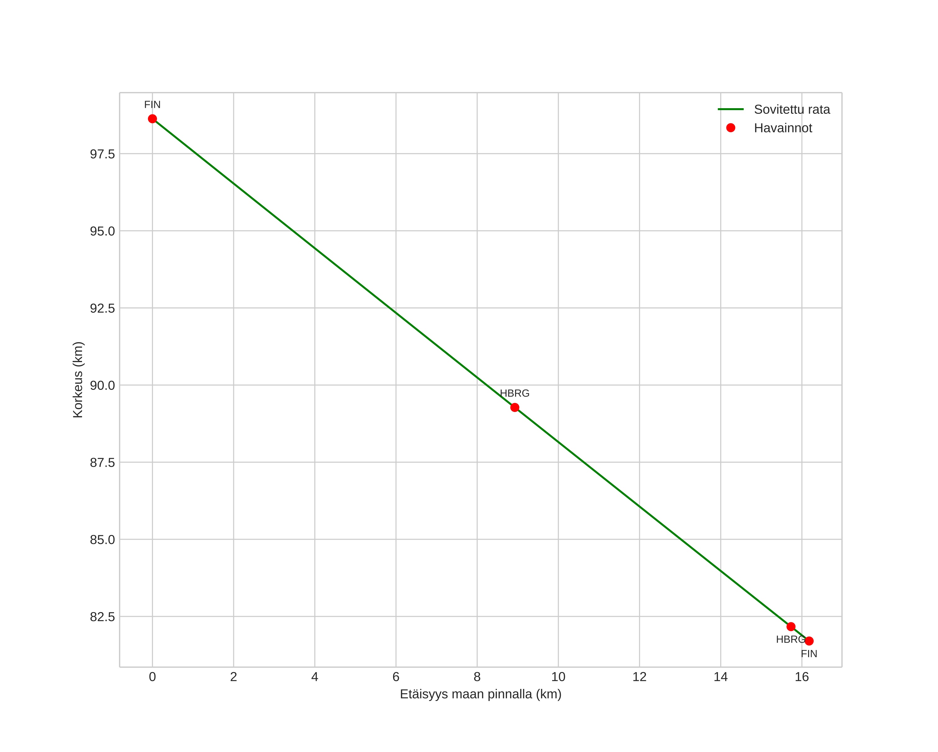
Meteorin ilmakehärata:
Alkukorkeus: 100,2 km
Loppukorkeus: 81,6 km
Alkupiste: 59,972N 16,997E
Loppupiste: 59,874N 16,746E
Suunta: 232,3°
Kallistuskulma: 46,4°
Tulonopeus: 55,5 km/s
Radiantin R,A,: 05:37 (84,3°)
Radiantin Dekl,: 56,8°
Meteoriparvi: Sporadinen
Meteoroidin rataelementit:
Perihelietäisyys: 0,492 AU
Eksentrisyys: 1,771
Inklinaatio: 57,7°
Nousevan solmun pituus: 251,7°
Perihelin argumentti: 257,5°
Keskianomalia: -52,8°
Epookki: 2024 DEC 03 17:36:44
orbit plot

Ei-interaktiivinen kuvaaja | Interaktiivinen kuvaaja

position vs time
speed and acceleration