🇳🇴 🇬🇧 🇩🇪 🇨🇿 🇫🇮

Meteor, poloha: Engerdal 2024-12-03 19:19:41 UTC

Soubor KML  |  InteraktivnĂ­ mapa

Mapa zobrazuje dráhy meteoru. Světlejší čáry ukazují směry od pozorovacích stanic při objevení se meteoru a tmavší čáry, kde byl naposledy viděn. Modrá šipka značí viditelnou dráhu meteoru.

static map
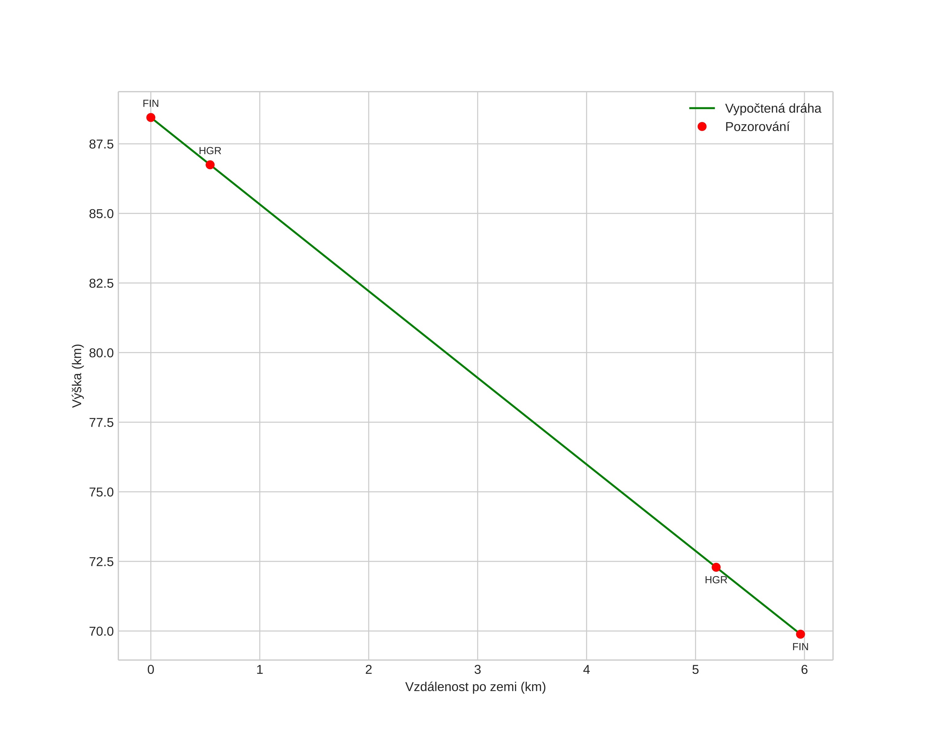
height profile
Atmosférická dráha meteoru:
Počáteční výška: 88,3 km
Konečná výška: 68,5 km
Počáteční poloha: 61,530N 12,239E
Konečná poloha: 61,544N 12,119E
Směr: 283,8°
Sklon: 71,6°
VstupnĂ­ rychlost: 23,3 km/s
Rektascenze radiantu: 03:03 (45,9°)
Deklinace radiantu: 52,2°
MeteorickĂ˝ roj: sporadickĂ˝
Elementy dráhy meteoroidu:
Vzdálenost v periheliu: 0,781 AU
Excentricita: 0,790
Sklon dráhy: 18,3°
Délka vzestupného uzlu: 251,8°
Argument perihelia: 238,1°
Střední anomálie: 355,1°
Epocha: 2024 DEC 03 19:19:41
orbit plot

NeinteraktivnĂ­ graf | InteraktivnĂ­ graf

position vs time
speed and acceleration