🇳🇴 🇬🇧 🇩🇪 🇨🇿 🇫🇮

Meteor Engerdalin yllä 2024-12-03 19:19:41 UTC

KML-tiedosto  |  Interaktiivinen kartta

Kartta näyttää meteorin suuntahavainnot. Vaaleammat viivat näyttävät suunnat havaintoasemilta meteorin ilmestyessä, ja tummemmat viivat näyttävät, missä se viimeksi nähtiin. Sininen nuoli näyttää meteorin näkyvän lennon.

static map
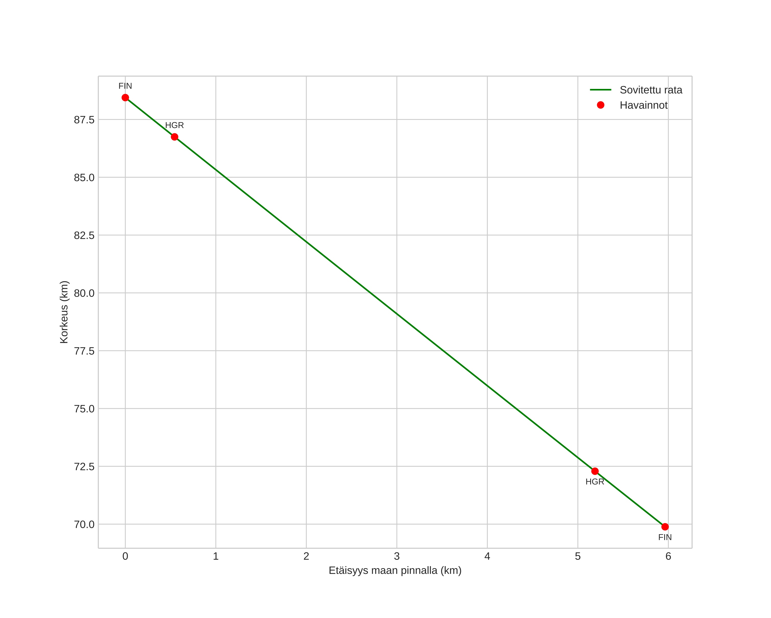
height profile
Meteorin ilmakehärata:
Alkukorkeus: 88,3 km
Loppukorkeus: 68,5 km
Alkupiste: 61,530N 12,239E
Loppupiste: 61,544N 12,119E
Suunta: 283,8°
Kallistuskulma: 71,6°
Tulonopeus: 23,3 km/s
Radiantin R,A,: 03:03 (45,9°)
Radiantin Dekl,: 52,2°
Meteoriparvi: Sporadinen
Meteoroidin rataelementit:
Perihelietäisyys: 0,781 AU
Eksentrisyys: 0,790
Inklinaatio: 18,3°
Nousevan solmun pituus: 251,8°
Perihelin argumentti: 238,1°
Keskianomalia: 355,1°
Epookki: 2024 DEC 03 19:19:41
orbit plot

Ei-interaktiivinen kuvaaja | Interaktiivinen kuvaaja

position vs time
speed and acceleration