🇳🇴 🇬🇧 🇩🇪 🇨🇿 🇫🇮

Meteor, poloha: Vansbro 2024-12-03 21:18:59 UTC

Soubor KML  |  InteraktivnĂ­ mapa

Mapa zobrazuje dráhy meteoru. Světlejší čáry ukazují směry od pozorovacích stanic při objevení se meteoru a tmavší čáry, kde byl naposledy viděn. Modrá šipka značí viditelnou dráhu meteoru.

static map
height profile
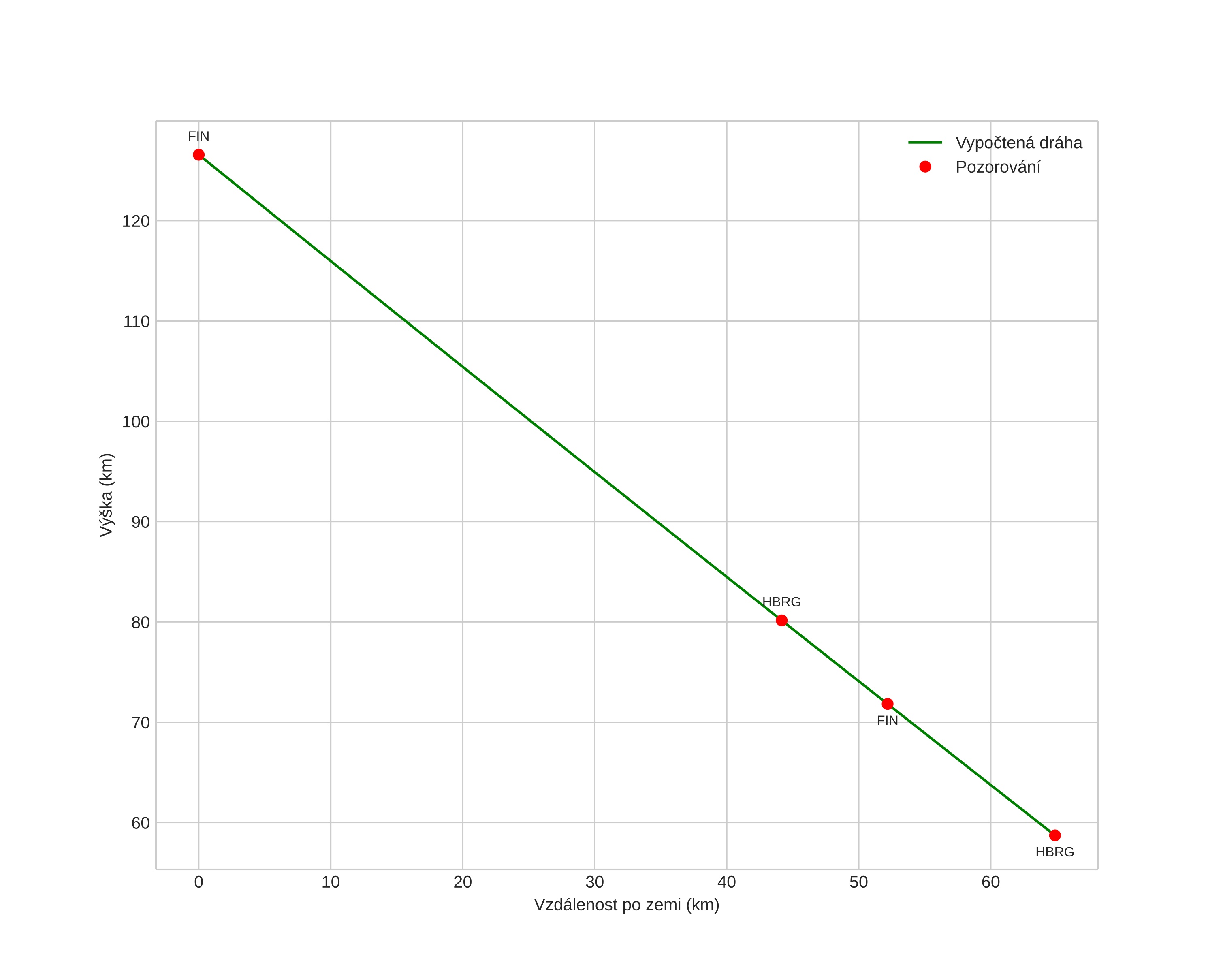
Atmosférická dráha meteoru:
Počáteční výška: 129,1 km
Konečná výška: 58,6 km
Počáteční poloha: 60,075N 15,043E
Konečná poloha: 60,486N 14,147E
Směr: 313,1°
Sklon: 46,4°
VstupnĂ­ rychlost: 53,4 km/s
Rektascenze radiantu: 05:22 (80,6°)
Deklinace radiantu: 22,5°
MeteorickĂ˝ roj: sporadickĂ˝
Elementy dráhy meteoroidu:
Vzdálenost v periheliu: 0,220 AU
Excentricita: 1,332
Sklon dráhy: 1,5°
Délka vzestupného uzlu: 72,0°
Argument perihelia: 111,0°
Střední anomálie: -49,5°
Epocha: 2024 DEC 03 21:18:59
orbit plot

NeinteraktivnĂ­ graf | InteraktivnĂ­ graf

position vs time
speed and acceleration