🇳🇴 🇬🇧 🇩🇪 🇨🇿 🇫🇮

Meteor Vansbron yllä 2024-12-03 21:18:59 UTC

KML-tiedosto  |  Interaktiivinen kartta

Kartta näyttää meteorin suuntahavainnot. Vaaleammat viivat näyttävät suunnat havaintoasemilta meteorin ilmestyessä, ja tummemmat viivat näyttävät, missä se viimeksi nähtiin. Sininen nuoli näyttää meteorin näkyvän lennon.

static map
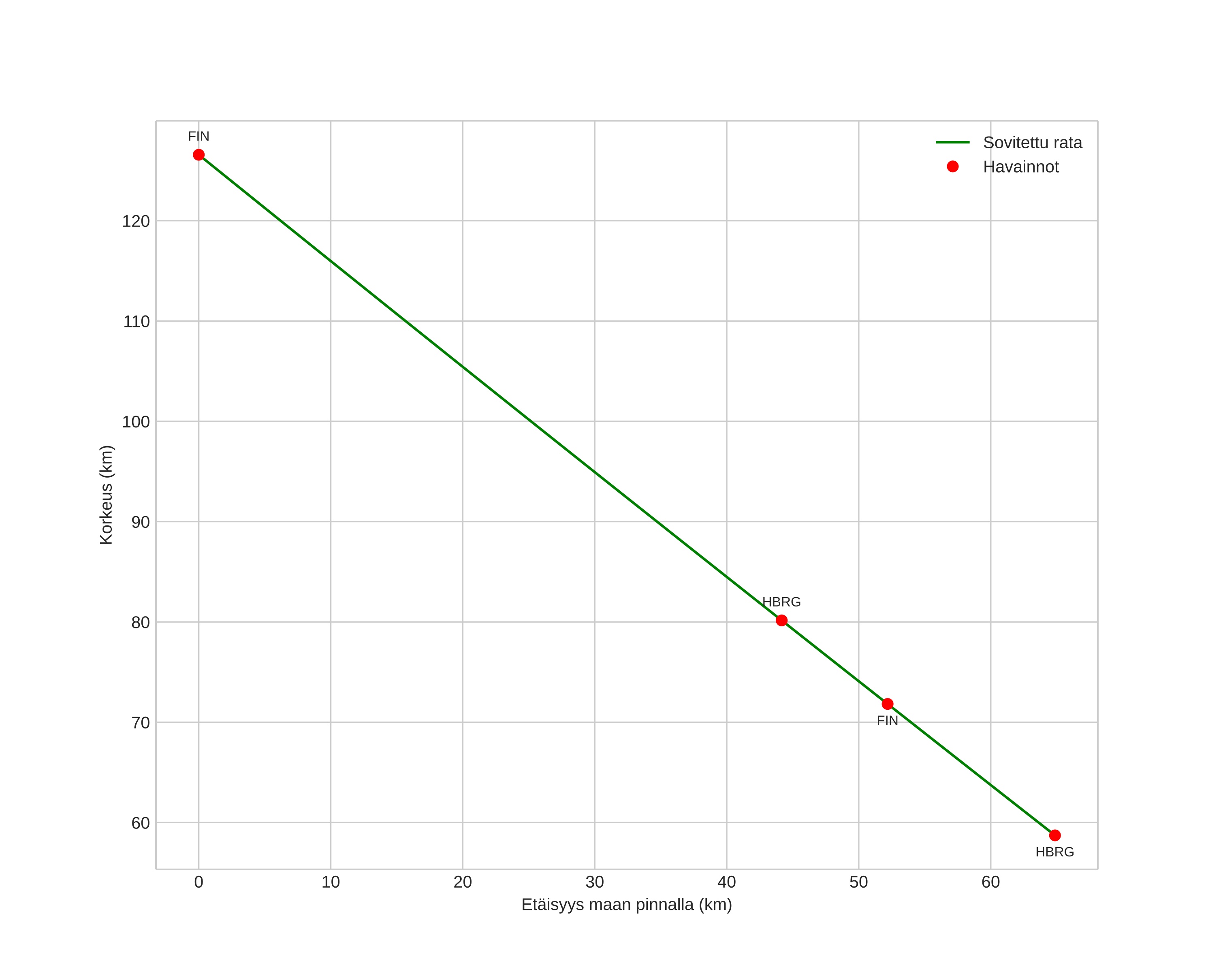
height profile
Meteorin ilmakehärata:
Alkukorkeus: 129,1 km
Loppukorkeus: 58,6 km
Alkupiste: 60,075N 15,043E
Loppupiste: 60,486N 14,147E
Suunta: 313,1°
Kallistuskulma: 46,4°
Tulonopeus: 53,4 km/s
Radiantin R,A,: 05:22 (80,6°)
Radiantin Dekl,: 22,5°
Meteoriparvi: Sporadinen
Meteoroidin rataelementit:
Perihelietäisyys: 0,220 AU
Eksentrisyys: 1,332
Inklinaatio: 1,5°
Nousevan solmun pituus: 72,0°
Perihelin argumentti: 111,0°
Keskianomalia: -49,5°
Epookki: 2024 DEC 03 21:18:59
orbit plot

Ei-interaktiivinen kuvaaja | Interaktiivinen kuvaaja

position vs time
speed and acceleration