🇳🇴 🇬🇧 🇩🇪 🇨🇿 🇫🇮

Meteor, poloha: Hurdal 2024-12-03 23:09:56 UTC

Soubor KML  |  InteraktivnĂ­ mapa

Mapa zobrazuje dráhy meteoru. Světlejší čáry ukazují směry od pozorovacích stanic při objevení se meteoru a tmavší čáry, kde byl naposledy viděn. Modrá šipka značí viditelnou dráhu meteoru.

static map
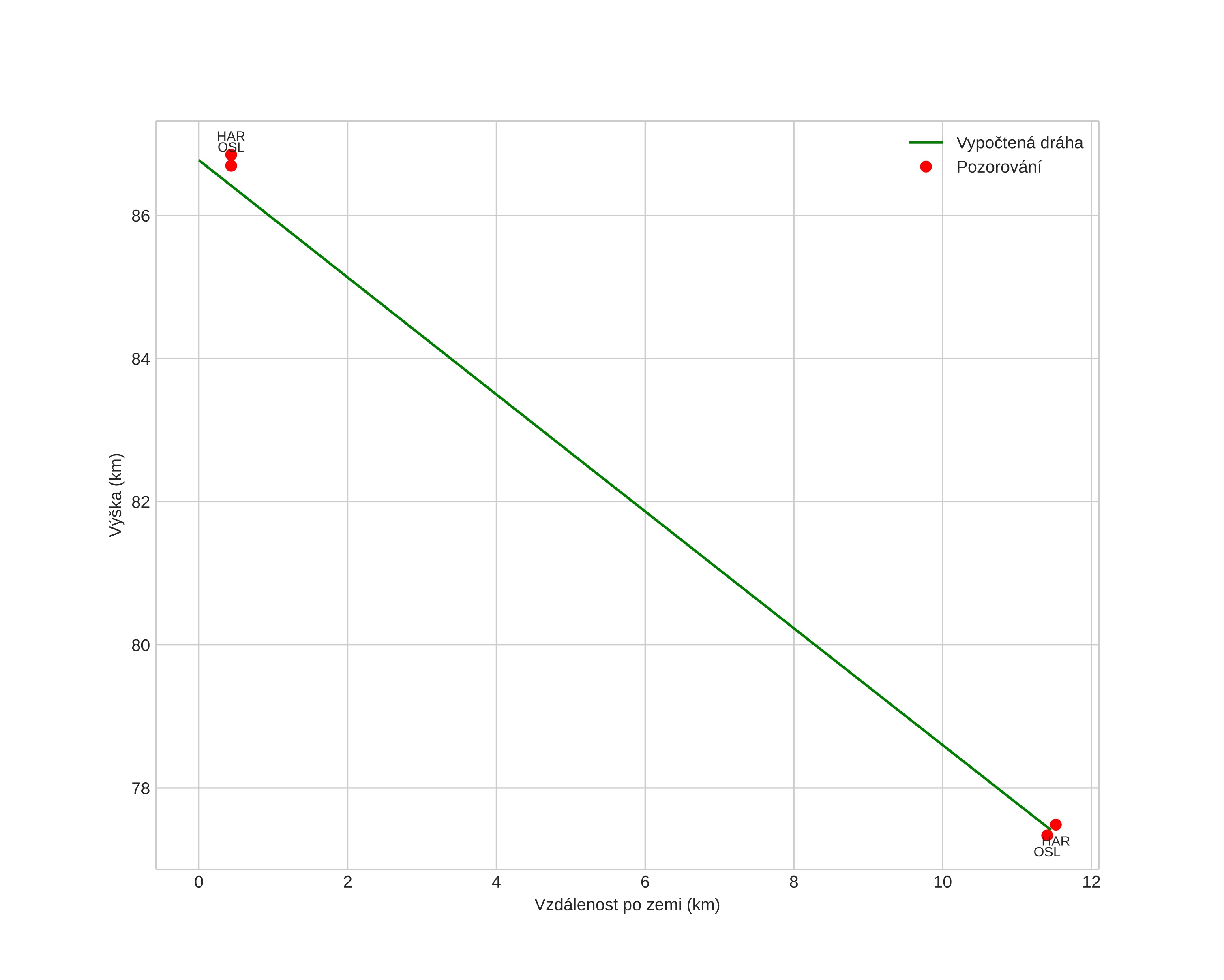
height profile
Atmosférická dráha meteoru:
Počáteční výška: 86,7 km
Konečná výška: 80,9 km
Počáteční poloha: 60,239N 11,054E
Konečná poloha: 60,363N 11,098E
Směr: 10,1°
Sklon: 22,6°
VstupnĂ­ rychlost: 17,1 km/s
Rektascenze radiantu: 04:00 (60,2°)
Deklinace radiantu: -17,1°
MeteorickĂ˝ roj: sporadickĂ˝
Elementy dráhy meteoroidu:
Vzdálenost v periheliu: 0,864 AU
Excentricita: 0,500
Sklon dráhy: 13,2°
Délka vzestupného uzlu: 72,0°
Argument perihelia: 50,9°
Střední anomálie: 343,9°
Epocha: 2024 DEC 03 23:09:56
orbit plot

NeinteraktivnĂ­ graf | InteraktivnĂ­ graf

position vs time
speed and acceleration