🇳🇴 🇬🇧 🇩🇪 🇨🇿 🇫🇮

Meteor Hurdalin yllä 2024-12-03 23:09:56 UTC

KML-tiedosto  |  Interaktiivinen kartta

Kartta näyttää meteorin suuntahavainnot. Vaaleammat viivat näyttävät suunnat havaintoasemilta meteorin ilmestyessä, ja tummemmat viivat näyttävät, missä se viimeksi nähtiin. Sininen nuoli näyttää meteorin näkyvän lennon.

static map
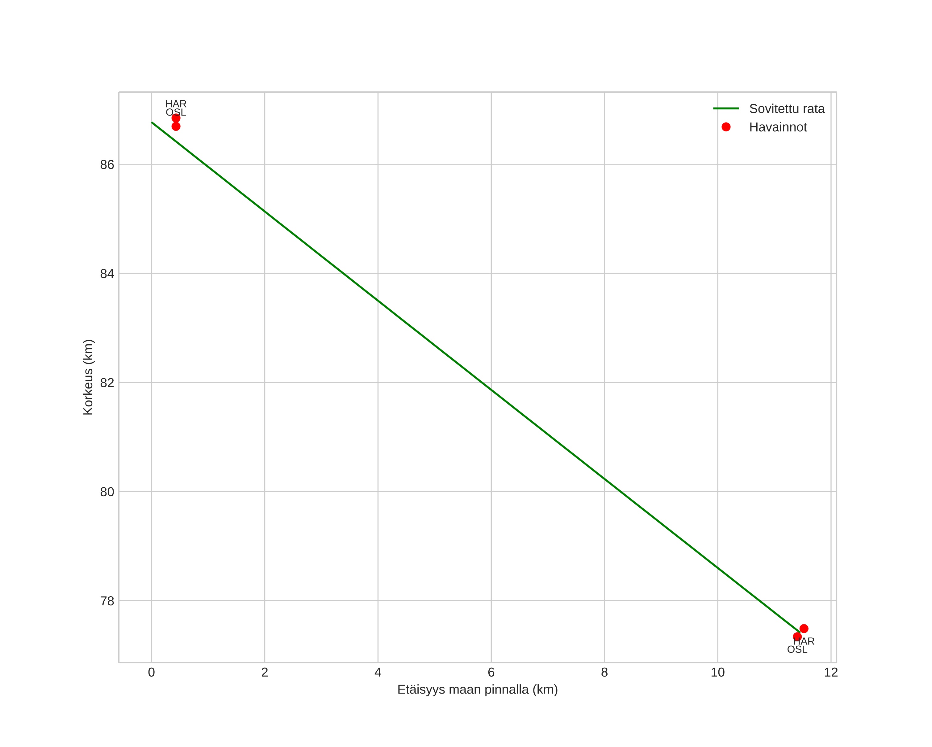
height profile
Meteorin ilmakehärata:
Alkukorkeus: 86,7 km
Loppukorkeus: 80,9 km
Alkupiste: 60,239N 11,054E
Loppupiste: 60,363N 11,098E
Suunta: 10,1°
Kallistuskulma: 22,6°
Tulonopeus: 17,1 km/s
Radiantin R,A,: 04:00 (60,2°)
Radiantin Dekl,: -17,1°
Meteoriparvi: Sporadinen
Meteoroidin rataelementit:
Perihelietäisyys: 0,864 AU
Eksentrisyys: 0,500
Inklinaatio: 13,2°
Nousevan solmun pituus: 72,0°
Perihelin argumentti: 50,9°
Keskianomalia: 343,9°
Epookki: 2024 DEC 03 23:09:56
orbit plot

Ei-interaktiivinen kuvaaja | Interaktiivinen kuvaaja

position vs time
speed and acceleration