🇳🇴 🇬🇧 🇩🇪 🇨🇿 🇫🇮

Meteor, poloha: Sunne 2024-12-04 03:34:43 UTC

Soubor KML  |  InteraktivnĂ­ mapa

Mapa zobrazuje dráhy meteoru. Světlejší čáry ukazují směry od pozorovacích stanic při objevení se meteoru a tmavší čáry, kde byl naposledy viděn. Modrá šipka značí viditelnou dráhu meteoru.

static map
height profile
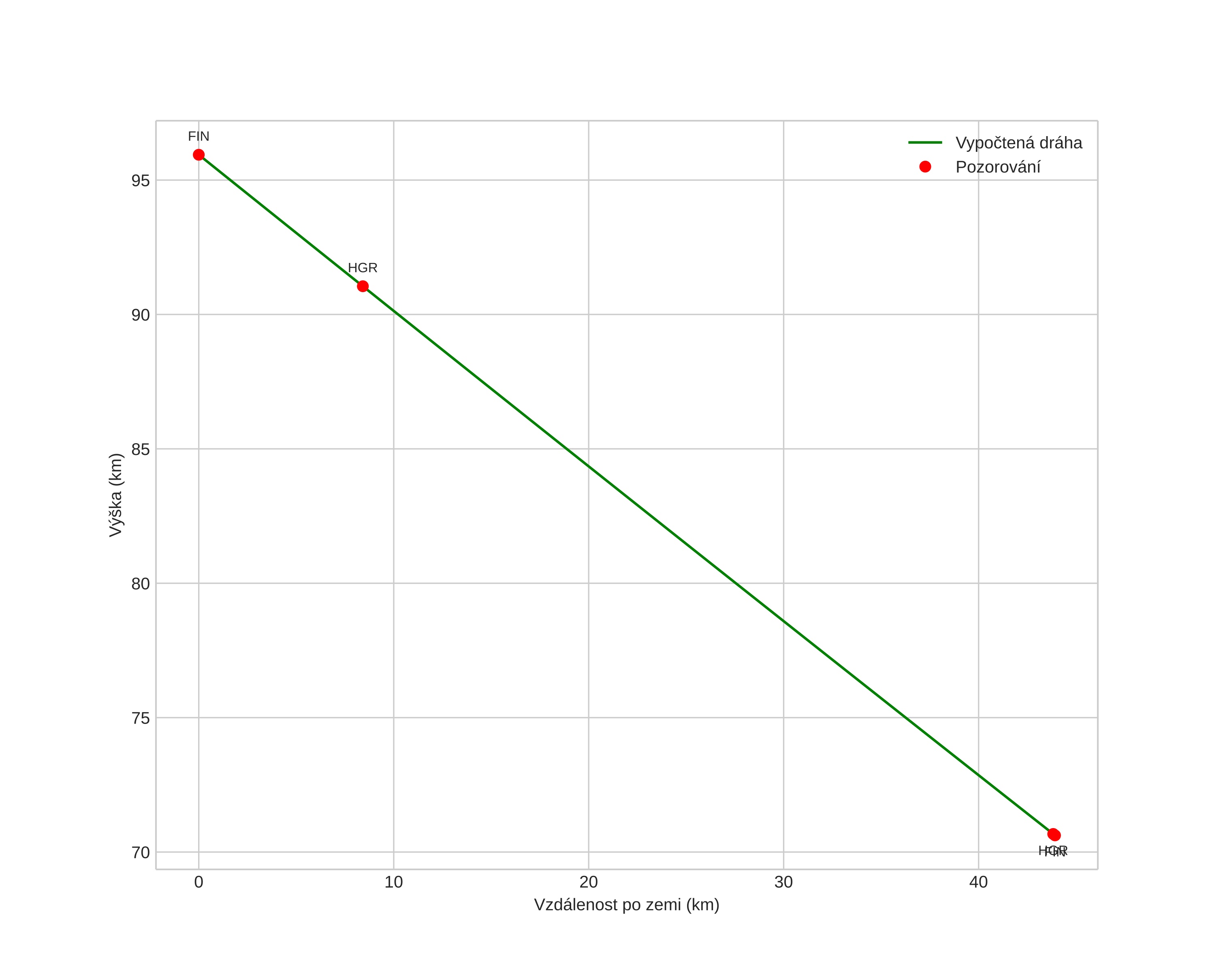
Atmosférická dráha meteoru:
Počáteční výška: 95,8 km
Konečná výška: 70,6 km
Počáteční poloha: 59,702N 12,392E
Konečná poloha: 59,805N 13,133E
Směr: 74,3°
Sklon: 30,4°
VstupnĂ­ rychlost: 25,3 km/s
Rektascenze radiantu: 05:03 (75,8°)
Deklinace radiantu: 15,4°
MeteorickĂ˝ roj: SevernĂ­ Tauridy
Elementy dráhy meteoroidu:
Vzdálenost v periheliu: 0,521 AU
Excentricita: 0,738
Sklon dráhy: 5,9°
Délka vzestupného uzlu: 72,2°
Argument perihelia: 96,3°
Střední anomálie: 343,9°
Epocha: 2024 DEC 04 03:34:43
orbit plot

NeinteraktivnĂ­ graf | InteraktivnĂ­ graf

position vs time
speed and acceleration