🇳🇴 🇬🇧 🇩🇪 🇨🇿 🇫🇮

Meteor Sunnen yllä 2024-12-04 03:34:43 UTC

KML-tiedosto  |  Interaktiivinen kartta

Kartta näyttää meteorin suuntahavainnot. Vaaleammat viivat näyttävät suunnat havaintoasemilta meteorin ilmestyessä, ja tummemmat viivat näyttävät, missä se viimeksi nähtiin. Sininen nuoli näyttää meteorin näkyvän lennon.

static map
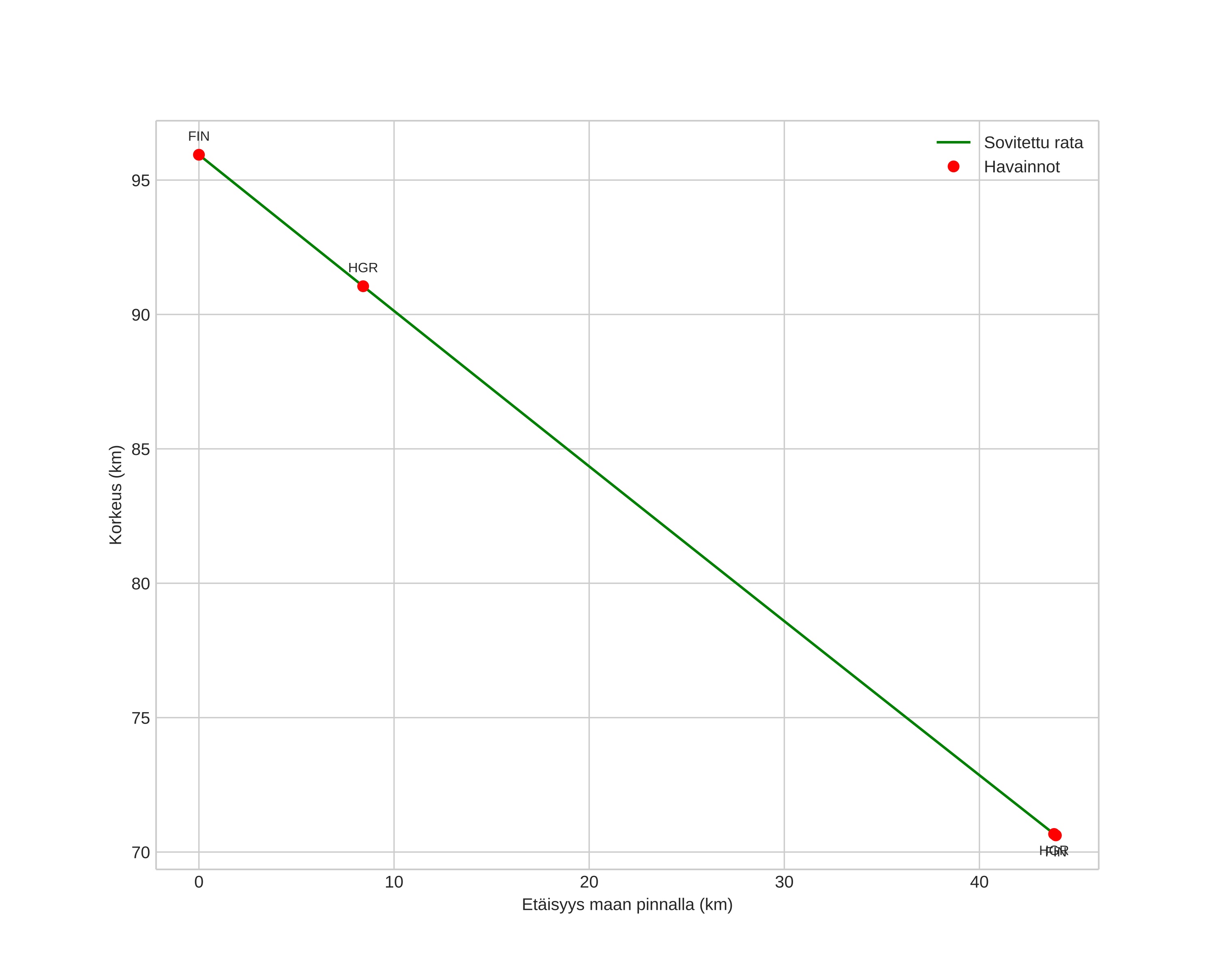
height profile
Meteorin ilmakehärata:
Alkukorkeus: 95,8 km
Loppukorkeus: 70,6 km
Alkupiste: 59,702N 12,392E
Loppupiste: 59,805N 13,133E
Suunta: 74,3°
Kallistuskulma: 30,4°
Tulonopeus: 25,3 km/s
Radiantin R,A,: 05:03 (75,8°)
Radiantin Dekl,: 15,4°
Meteoriparvi: Pohjoiset tauridit
Meteoroidin rataelementit:
Perihelietäisyys: 0,521 AU
Eksentrisyys: 0,738
Inklinaatio: 5,9°
Nousevan solmun pituus: 72,2°
Perihelin argumentti: 96,3°
Keskianomalia: 343,9°
Epookki: 2024 DEC 04 03:34:43
orbit plot

Ei-interaktiivinen kuvaaja | Interaktiivinen kuvaaja

position vs time
speed and acceleration