🇳🇴 🇬🇧 🇩🇪 🇨🇿 🇫🇮

Meteor, poloha: Sørumsand 2024-12-04 03:55:38 UTC

Soubor KML  |  InteraktivnĂ­ mapa

Mapa zobrazuje dráhy meteoru. Světlejší čáry ukazují směry od pozorovacích stanic při objevení se meteoru a tmavší čáry, kde byl naposledy viděn. Modrá šipka značí viditelnou dráhu meteoru.

static map
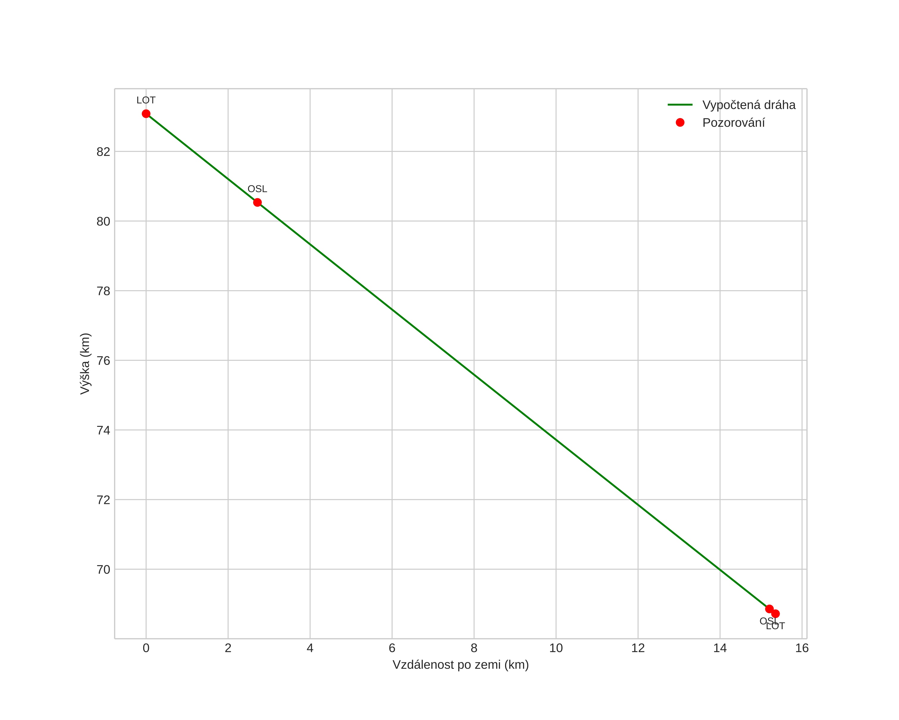
height profile
Atmosférická dráha meteoru:
Počáteční výška: 81,3 km
Konečná výška: 68,8 km
Počáteční poloha: 60,068N 11,216E
Konečná poloha: 59,956N 11,287E
Směr: 162,4°
Sklon: 43,8°
VstupnĂ­ rychlost: 18,9 km/s
Rektascenze radiantu: 00:00 (0,1°)
Deklinace radiantu: 65,3°
MeteorickĂ˝ roj: sporadickĂ˝
Elementy dráhy meteoroidu:
Vzdálenost v periheliu: 0,933 AU
Excentricita: 0,597
Sklon dráhy: 20,2°
Délka vzestupného uzlu: 252,1°
Argument perihelia: 211,0°
Střední anomálie: 353,5°
Epocha: 2024 DEC 04 03:55:38
orbit plot

NeinteraktivnĂ­ graf | InteraktivnĂ­ graf

position vs time
speed and acceleration