🇳🇴 🇬🇧 🇩🇪 🇨🇿 🇫🇮

Meteor Sørumsandin yllä 2024-12-04 03:55:38 UTC

KML-tiedosto  |  Interaktiivinen kartta

Kartta näyttää meteorin suuntahavainnot. Vaaleammat viivat näyttävät suunnat havaintoasemilta meteorin ilmestyessä, ja tummemmat viivat näyttävät, missä se viimeksi nähtiin. Sininen nuoli näyttää meteorin näkyvän lennon.

static map
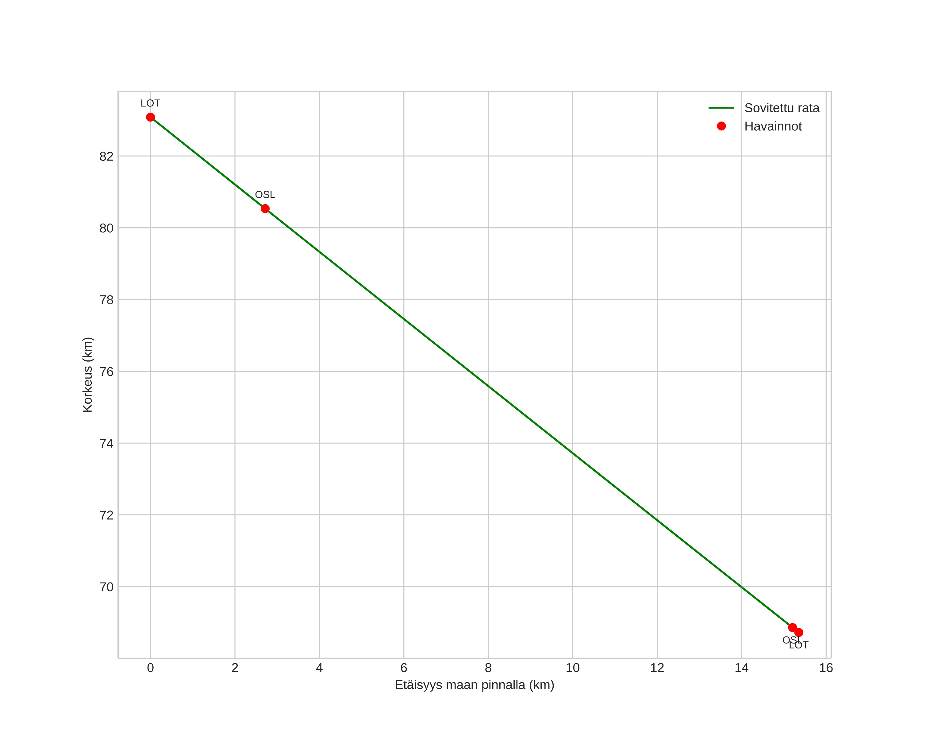
height profile
Meteorin ilmakehärata:
Alkukorkeus: 81,3 km
Loppukorkeus: 68,8 km
Alkupiste: 60,068N 11,216E
Loppupiste: 59,956N 11,287E
Suunta: 162,4°
Kallistuskulma: 43,8°
Tulonopeus: 18,9 km/s
Radiantin R,A,: 00:00 (0,1°)
Radiantin Dekl,: 65,3°
Meteoriparvi: Sporadinen
Meteoroidin rataelementit:
Perihelietäisyys: 0,933 AU
Eksentrisyys: 0,597
Inklinaatio: 20,2°
Nousevan solmun pituus: 252,1°
Perihelin argumentti: 211,0°
Keskianomalia: 353,5°
Epookki: 2024 DEC 04 03:55:38
orbit plot

Ei-interaktiivinen kuvaaja | Interaktiivinen kuvaaja

position vs time
speed and acceleration