🇳🇴 🇬🇧 🇩🇪 🇨🇿 🇫🇮

Meteor, poloha: Hauge i Dalane 2024-12-04 05:16:40 UTC

Soubor KML  |  InteraktivnĂ­ mapa

Mapa zobrazuje dráhy meteoru. Světlejší čáry ukazují směry od pozorovacích stanic při objevení se meteoru a tmavší čáry, kde byl naposledy viděn. Modrá šipka značí viditelnou dráhu meteoru.

static map
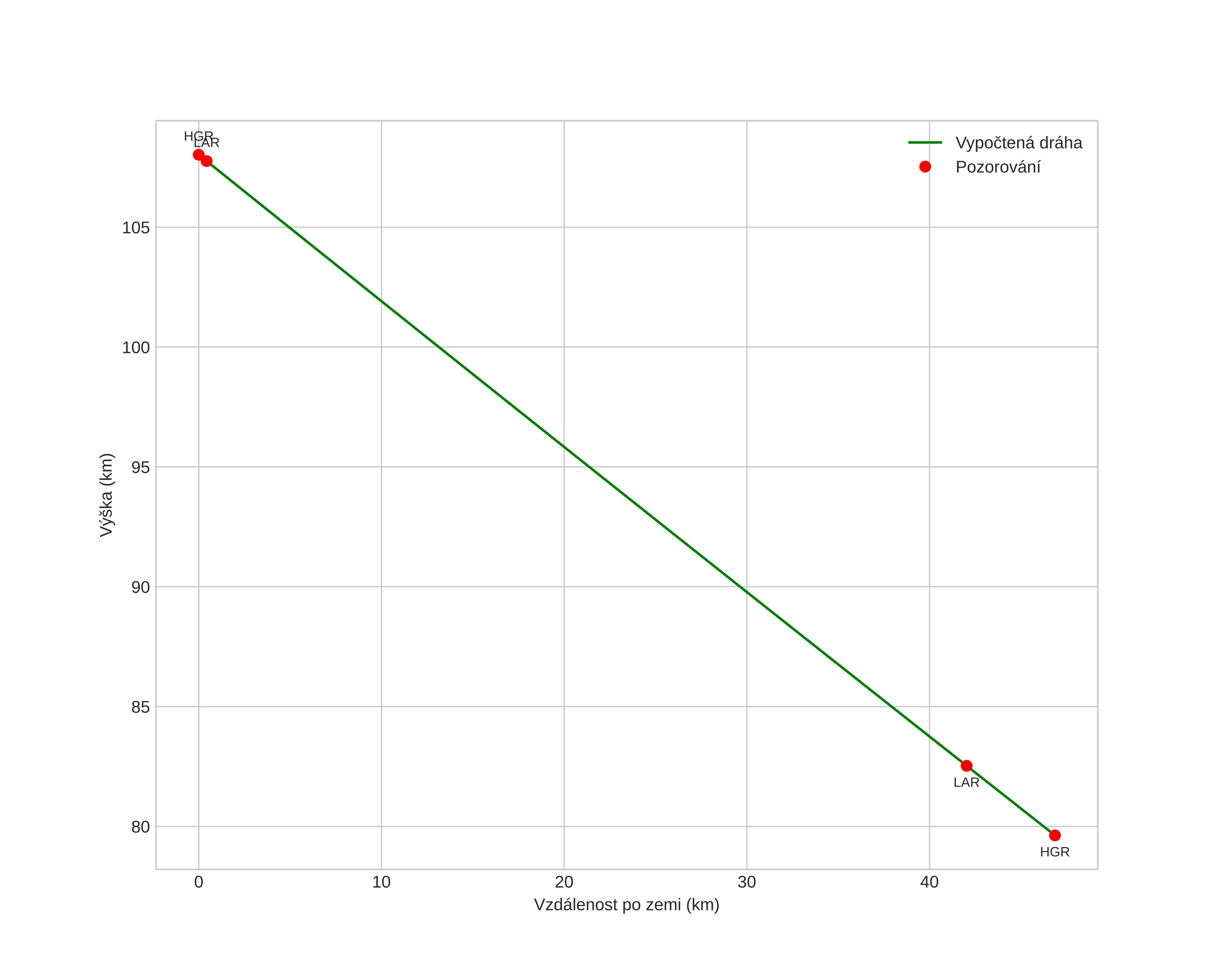
height profile
Atmosférická dráha meteoru:
Počáteční výška: 109,1 km
Konečná výška: 79,4 km
Počáteční poloha: 57,872N 5,790E
Konečná poloha: 58,234N 6,236E
Směr: 32,9°
Sklon: 31,7°
VstupnĂ­ rychlost: 66,2 km/s
Rektascenze radiantu: 08:40 (130,2°)
Deklinace radiantu: 3,4°
MeteorickĂ˝ roj: Sigma Hydridy
Elementy dráhy meteoroidu:
Vzdálenost v periheliu: 0,458 AU
Excentricita: 1,057
Sklon dráhy: 146,2°
Délka vzestupného uzlu: 72,2°
Argument perihelia: 92,4°
Střední anomálie: -1,6°
Epocha: 2024 DEC 04 05:16:40
orbit plot

NeinteraktivnĂ­ graf | InteraktivnĂ­ graf

position vs time
speed and acceleration