🇳🇴 🇬🇧 🇩🇪 🇨🇿 🇫🇮

Meteor Hauge i Dalanen yllä 2024-12-04 05:16:40 UTC

KML-tiedosto  |  Interaktiivinen kartta

Kartta näyttää meteorin suuntahavainnot. Vaaleammat viivat näyttävät suunnat havaintoasemilta meteorin ilmestyessä, ja tummemmat viivat näyttävät, missä se viimeksi nähtiin. Sininen nuoli näyttää meteorin näkyvän lennon.

static map
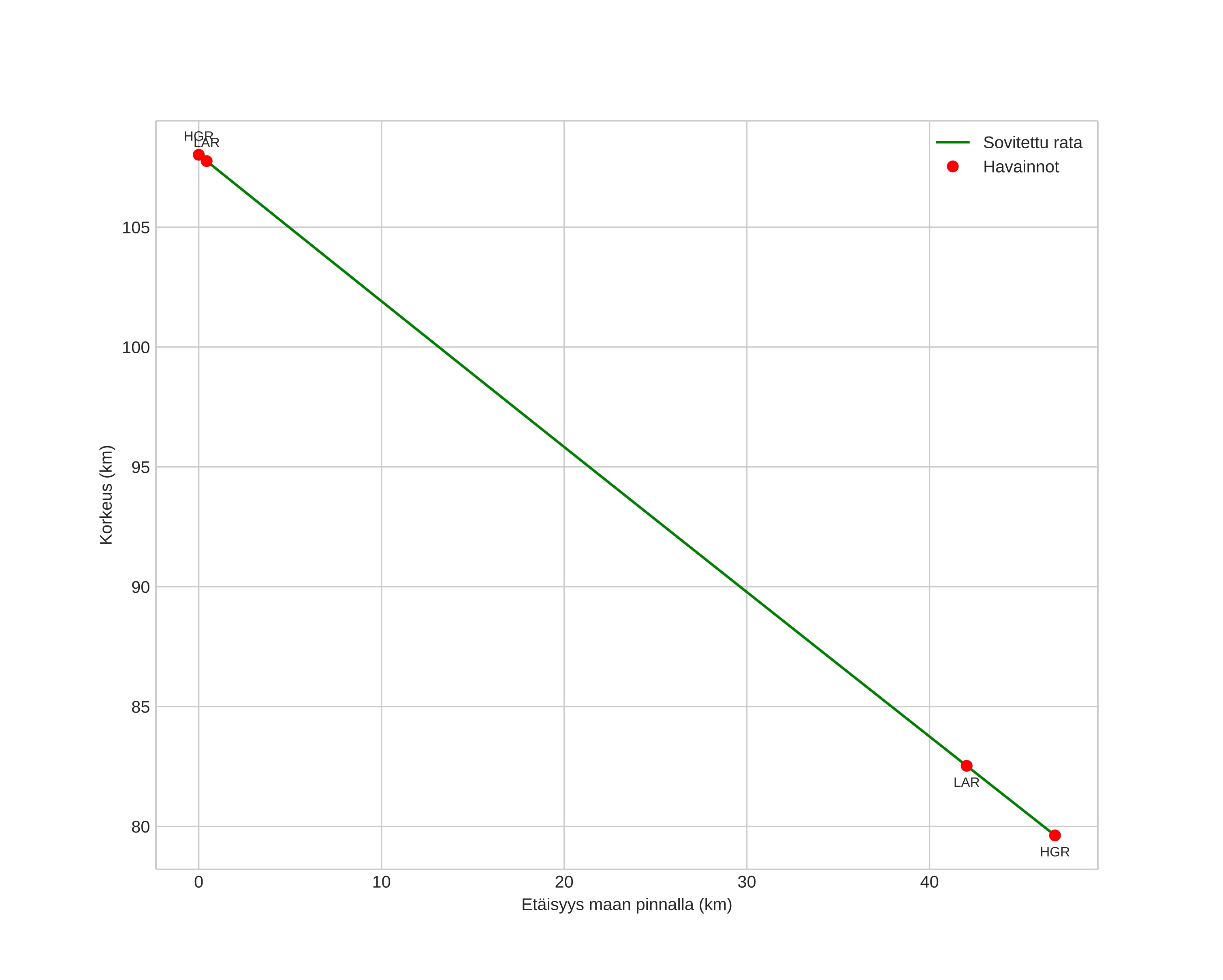
height profile
Meteorin ilmakehärata:
Alkukorkeus: 109,1 km
Loppukorkeus: 79,4 km
Alkupiste: 57,872N 5,790E
Loppupiste: 58,234N 6,236E
Suunta: 32,9°
Kallistuskulma: 31,7°
Tulonopeus: 66,2 km/s
Radiantin R,A,: 08:40 (130,2°)
Radiantin Dekl,: 3,4°
Meteoriparvi: Sigma-hydridit
Meteoroidin rataelementit:
Perihelietäisyys: 0,458 AU
Eksentrisyys: 1,057
Inklinaatio: 146,2°
Nousevan solmun pituus: 72,2°
Perihelin argumentti: 92,4°
Keskianomalia: -1,6°
Epookki: 2024 DEC 04 05:16:40
orbit plot

Ei-interaktiivinen kuvaaja | Interaktiivinen kuvaaja

position vs time
speed and acceleration