🇳🇴 🇬🇧 🇩🇪 🇨🇿 🇫🇮

Meteor, poloha: Hovsta 2024-12-04 05:33:46 UTC

Soubor KML  |  InteraktivnĂ­ mapa

Mapa zobrazuje dráhy meteoru. Světlejší čáry ukazují směry od pozorovacích stanic při objevení se meteoru a tmavší čáry, kde byl naposledy viděn. Modrá šipka značí viditelnou dráhu meteoru.

static map
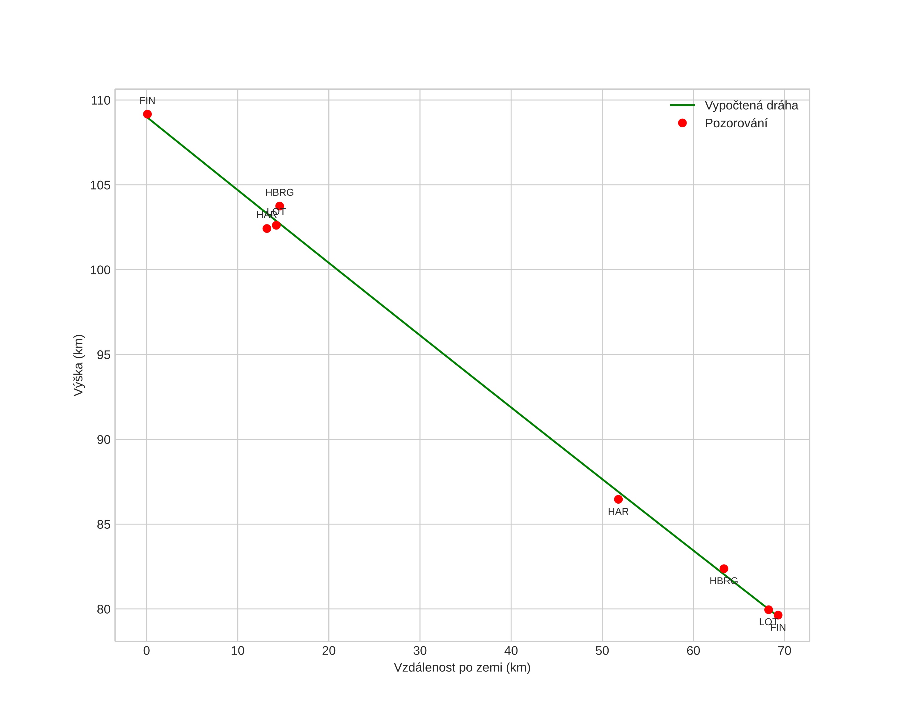
height profile
Atmosférická dráha meteoru:
Počáteční výška: 108,9 km
Konečná výška: 79,2 km
Počáteční poloha: 59,034N 14,246E
Konečná poloha: 59,362N 15,287E
Směr: 57,9°
Sklon: 23,1°
VstupnĂ­ rychlost: 59,2 km/s
Rektascenze radiantu: 07:55 (118,9°)
Deklinace radiantu: 4,3°
MeteorickĂ˝ roj: Sigma Hydridy
Elementy dráhy meteoroidu:
Vzdálenost v periheliu: 0,215 AU
Excentricita: 1,006
Sklon dráhy: 125,1°
Délka vzestupného uzlu: 72,2°
Argument perihelia: 124,0°
Střední anomálie: -0,2°
Epocha: 2024 DEC 04 05:33:46
orbit plot

NeinteraktivnĂ­ graf | InteraktivnĂ­ graf

position vs time
speed and acceleration

Larvik () cam2

fireball
gnomonic
Videa
Obrázky
Textové soubory
• Detekce
• Souřadnice
• Protokol
Jasnost