🇳🇴 🇬🇧 🇩🇪 🇨🇿 🇫🇮

Meteor Hovstan yllä 2024-12-04 05:33:46 UTC

KML-tiedosto  |  Interaktiivinen kartta

Kartta näyttää meteorin suuntahavainnot. Vaaleammat viivat näyttävät suunnat havaintoasemilta meteorin ilmestyessä, ja tummemmat viivat näyttävät, missä se viimeksi nähtiin. Sininen nuoli näyttää meteorin näkyvän lennon.

static map
height profile
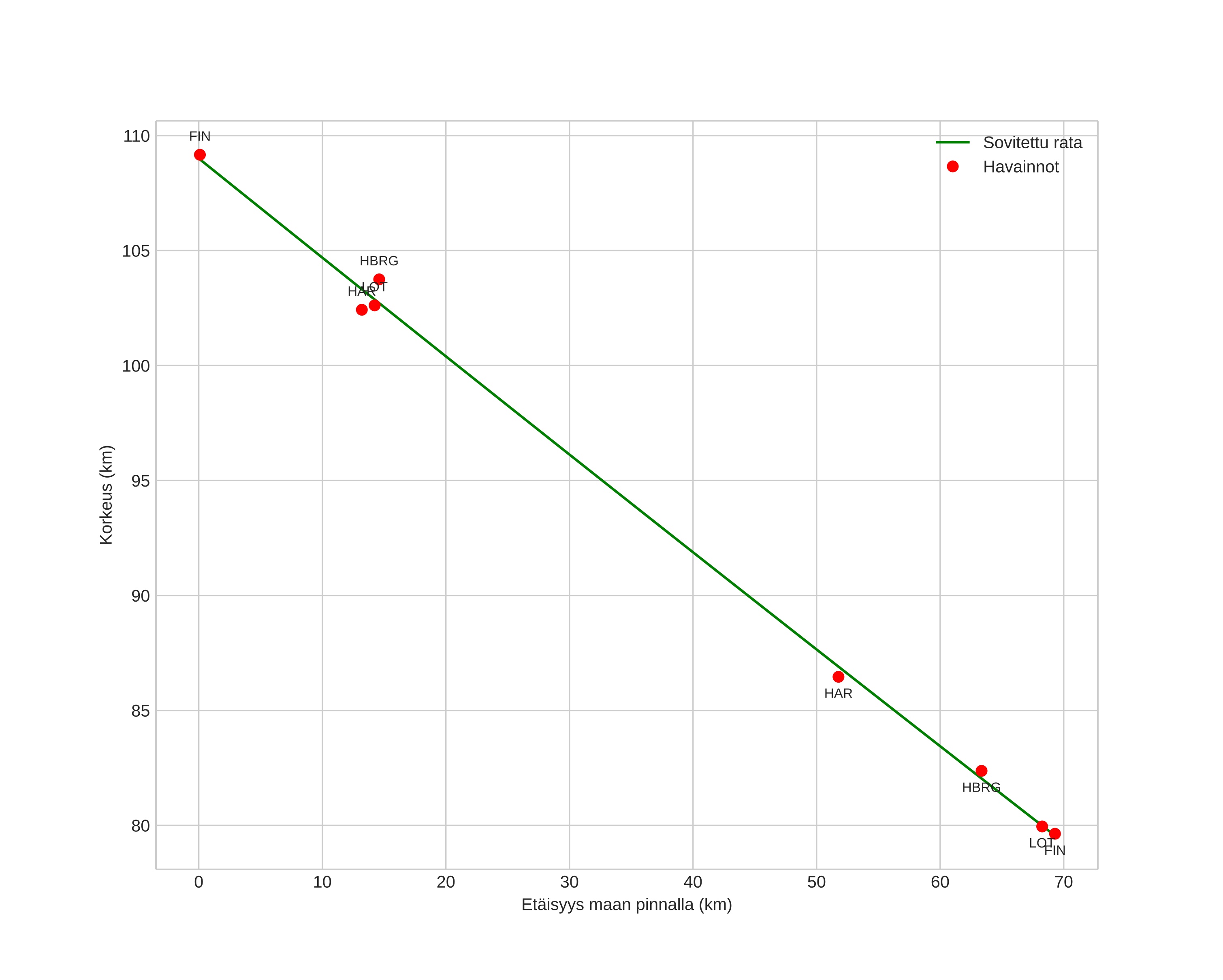
Meteorin ilmakehärata:
Alkukorkeus: 108,9 km
Loppukorkeus: 79,2 km
Alkupiste: 59,034N 14,246E
Loppupiste: 59,362N 15,287E
Suunta: 57,9°
Kallistuskulma: 23,1°
Tulonopeus: 59,2 km/s
Radiantin R,A,: 07:55 (118,9°)
Radiantin Dekl,: 4,3°
Meteoriparvi: Sigma-hydridit
Meteoroidin rataelementit:
Perihelietäisyys: 0,215 AU
Eksentrisyys: 1,006
Inklinaatio: 125,1°
Nousevan solmun pituus: 72,2°
Perihelin argumentti: 124,0°
Keskianomalia: -0,2°
Epookki: 2024 DEC 04 05:33:46
orbit plot

Ei-interaktiivinen kuvaaja | Interaktiivinen kuvaaja

position vs time
speed and acceleration

Larvik () cam2

fireball
gnomonic
Videot:
Kuvat:
Tekstitiedostot:
• Havaintoraportti
• Koordinaatit
• Loki
Kirkkaus