🇳🇴 🇬🇧 🇩🇪 🇨🇿 🇫🇮

Meteor, poloha: Hovsta 2024-12-04 05:33:47 UTC

Soubor KML  |  InteraktivnĂ­ mapa

Mapa zobrazuje dráhy meteoru. Světlejší čáry ukazují směry od pozorovacích stanic při objevení se meteoru a tmavší čáry, kde byl naposledy viděn. Modrá šipka značí viditelnou dráhu meteoru.

static map
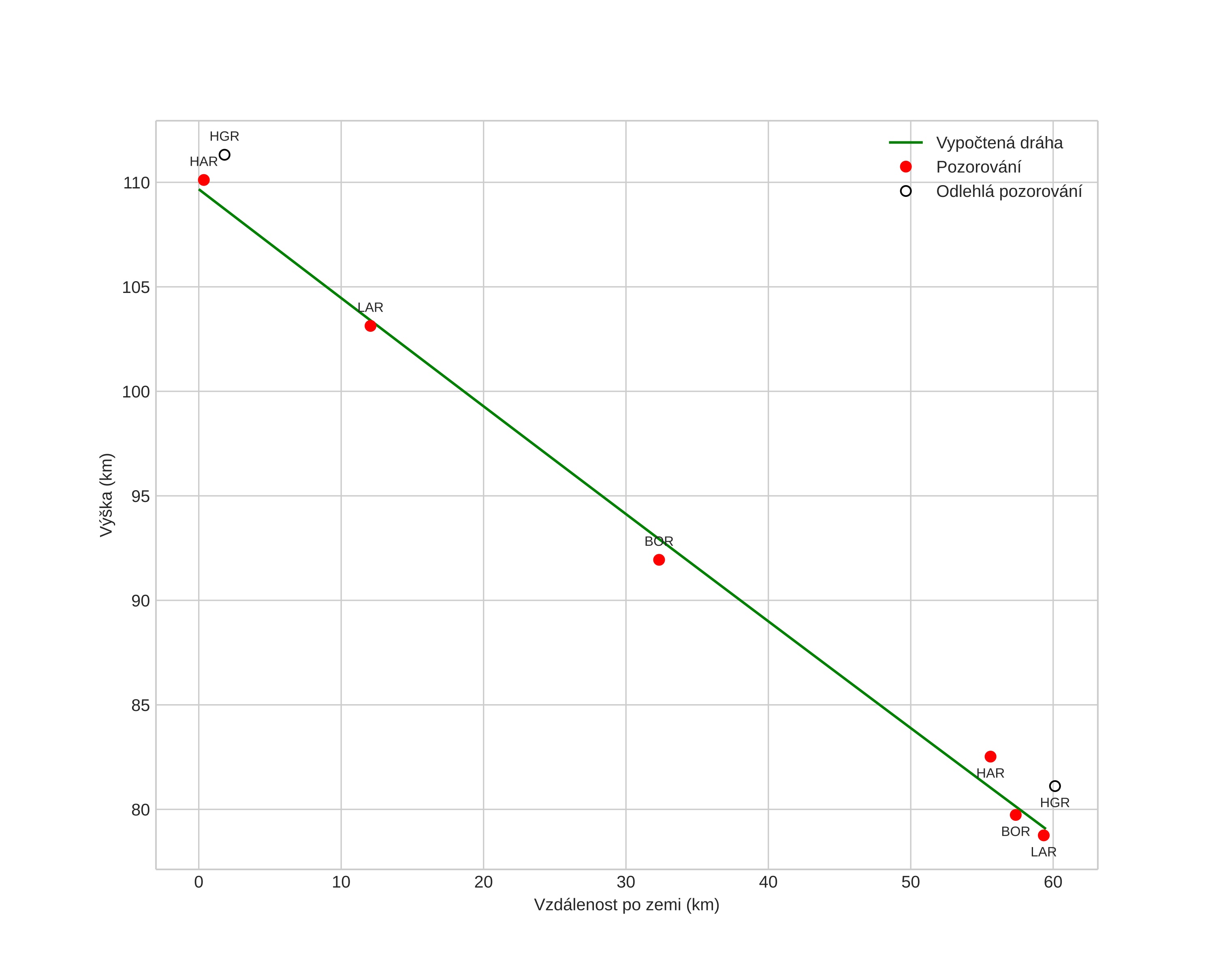
height profile
Atmosférická dráha meteoru:
Počáteční výška: 109,5 km
Konečná výška: 78,6 km
Počáteční poloha: 59,001N 14,336E
Konečná poloha: 59,341N 15,149E
Směr: 50,4°
Sklon: 27,3°
VstupnĂ­ rychlost: 59,7 km/s
Rektascenze radiantu: 08:28 (127,0°)
Deklinace radiantu: 5,3°
MeteorickĂ˝ roj: Sigma Hydridy
Elementy dráhy meteoroidu:
Vzdálenost v periheliu: 0,273 AU
Excentricita: 0,916
Sklon dráhy: 141,6°
Délka vzestupného uzlu: 72,2°
Argument perihelia: 120,8°
Střední anomálie: 353,6°
Epocha: 2024 DEC 04 05:33:47
orbit plot

NeinteraktivnĂ­ graf | InteraktivnĂ­ graf

position vs time
speed and acceleration