🇳🇴 🇬🇧 🇩🇪 🇨🇿 🇫🇮

Meteor Hovstan yllä 2024-12-04 05:33:47 UTC

KML-tiedosto  |  Interaktiivinen kartta

Kartta näyttää meteorin suuntahavainnot. Vaaleammat viivat näyttävät suunnat havaintoasemilta meteorin ilmestyessä, ja tummemmat viivat näyttävät, missä se viimeksi nähtiin. Sininen nuoli näyttää meteorin näkyvän lennon.

static map
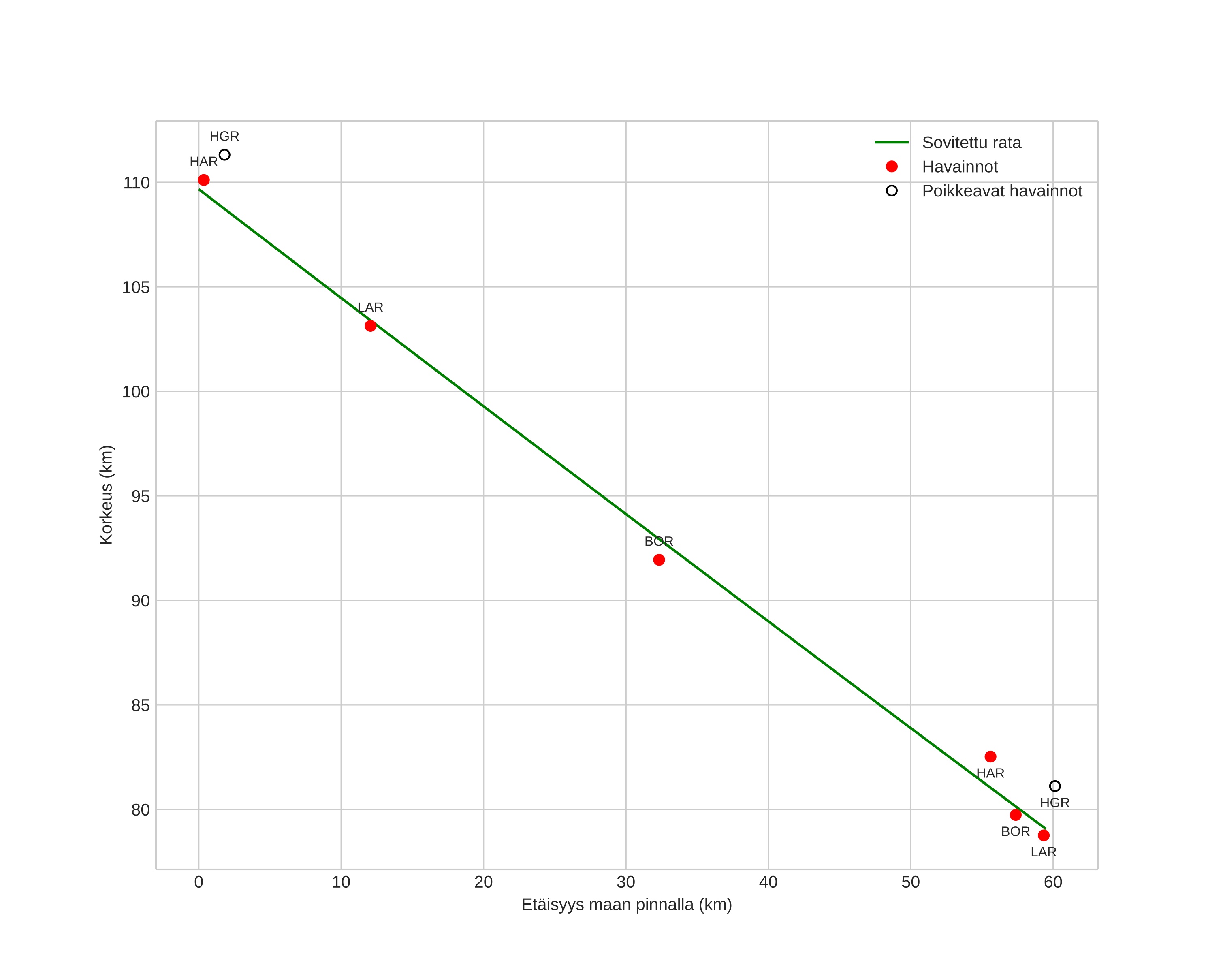
height profile
Meteorin ilmakehärata:
Alkukorkeus: 109,5 km
Loppukorkeus: 78,6 km
Alkupiste: 59,001N 14,336E
Loppupiste: 59,341N 15,149E
Suunta: 50,4°
Kallistuskulma: 27,3°
Tulonopeus: 59,7 km/s
Radiantin R,A,: 08:28 (127,0°)
Radiantin Dekl,: 5,3°
Meteoriparvi: Sigma-hydridit
Meteoroidin rataelementit:
Perihelietäisyys: 0,273 AU
Eksentrisyys: 0,916
Inklinaatio: 141,6°
Nousevan solmun pituus: 72,2°
Perihelin argumentti: 120,8°
Keskianomalia: 353,6°
Epookki: 2024 DEC 04 05:33:47
orbit plot

Ei-interaktiivinen kuvaaja | Interaktiivinen kuvaaja

position vs time
speed and acceleration