🇳🇴 🇬🇧 🇩🇪 🇨🇿 🇫🇮

Meteor, poloha: Storslett 2024-12-04 17:22:01 UTC

Soubor KML  |  InteraktivnĂ­ mapa

Mapa zobrazuje dráhy meteoru. Světlejší čáry ukazují směry od pozorovacích stanic při objevení se meteoru a tmavší čáry, kde byl naposledy viděn. Modrá šipka značí viditelnou dráhu meteoru.

static map
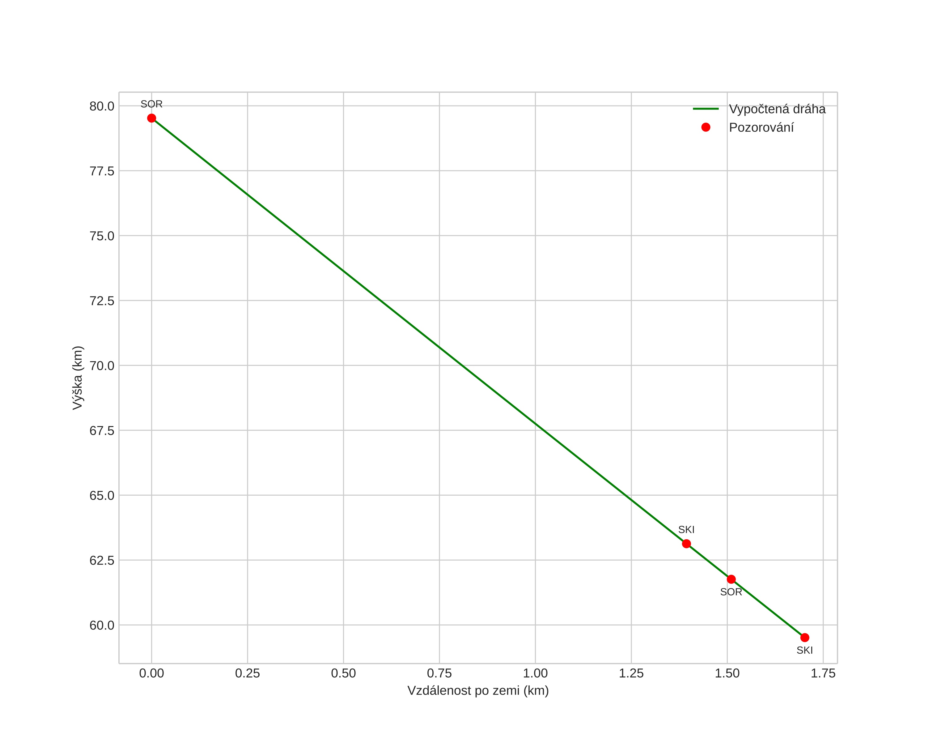
height profile
Atmosférická dráha meteoru:
Počáteční výška: 79,7 km
Konečná výška: 59,9 km
Počáteční poloha: 68,872N 21,232E
Konečná poloha: 68,876N 21,275E
Směr: 76,8°
Sklon: 84,9°
VstupnĂ­ rychlost: 21,3 km/s
Rektascenze radiantu: 22:42 (340,5°)
Deklinace radiantu: 66,7°
MeteorickĂ˝ roj: sporadickĂ˝
Elementy dráhy meteoroidu:
Vzdálenost v periheliu: 0,954 AU
Excentricita: 0,741
Sklon dráhy: 24,7°
Délka vzestupného uzlu: 252,7°
Argument perihelia: 202,3°
Střední anomálie: 357,7°
Epocha: 2024 DEC 04 17:22:01
orbit plot

NeinteraktivnĂ­ graf | InteraktivnĂ­ graf

position vs time
speed and acceleration