🇳🇴 🇬🇧 🇩🇪 🇨🇿 🇫🇮

Meteor über Storslett 2024-12-04 17:22:01 UTC

KML-Datei  |  Interaktive Karte

Die Karte zeigt die Peilungen für den Meteor. Die helleren Linien zeigen die Richtungen von den Beobachtungsorten beim Erscheinen des Meteors, und die dunkleren Linien, wo er zuletzt gesehen wurde. Der blaue Pfeil zeigt die sichtbare Bahn des Meteors.

static map
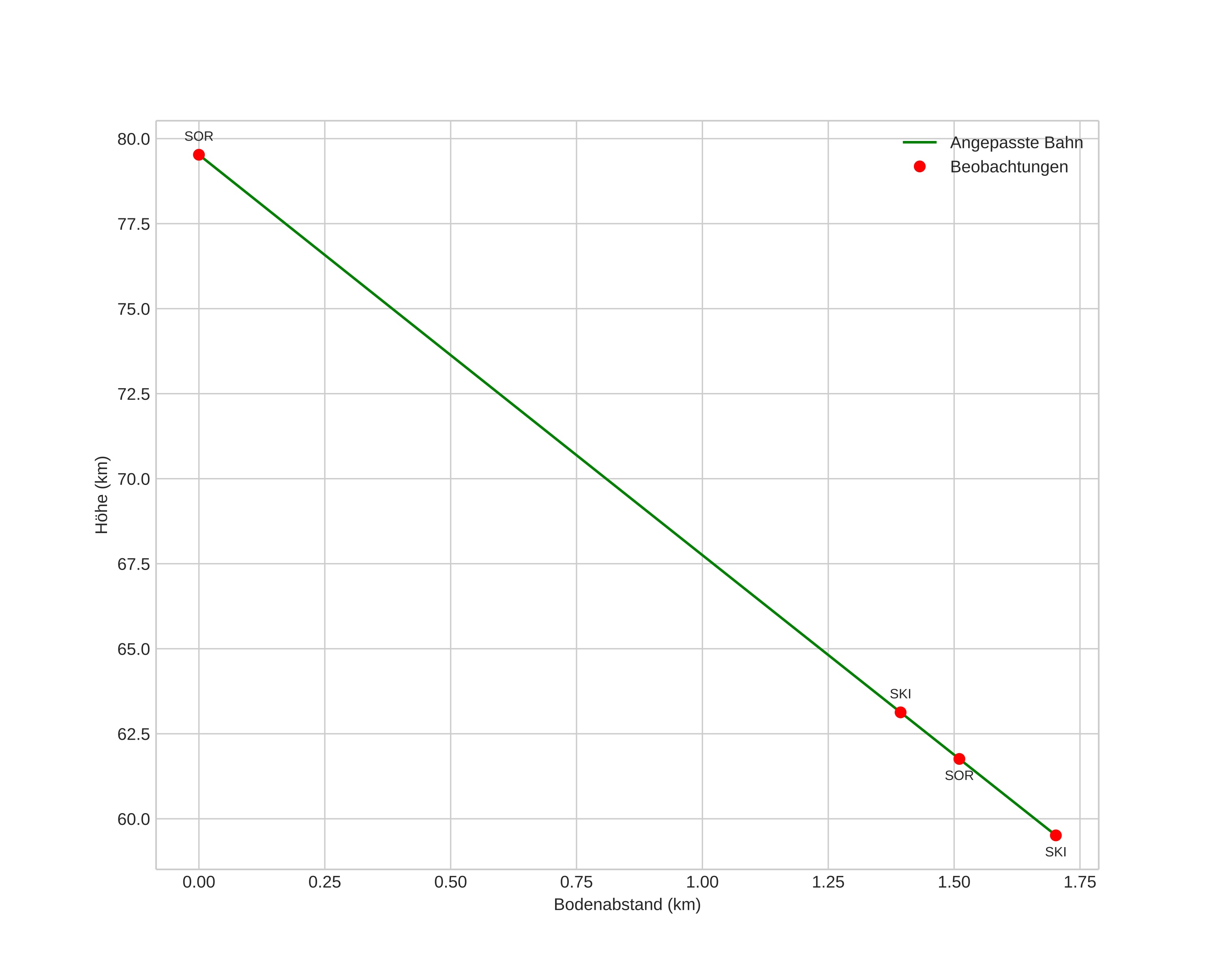
height profile
Atmosphärische Bahn des Meteors:
Anfangshöhe: 79,7 km
Endhöhe: 59,9 km
Startposition: 68,872N 21,232E
Endposition: 68,876N 21,275E
Richtung: 76,8°
Neigungswinkel: 84,9°
Eintrittsgeschwindigkeit: 21,3 km/s
Rektaszension des Radianten: 22:42 (340,5°)
Deklination des Radianten: 66,7°
Meteorstrom: sporadisch
Bahnelemente des Meteoroiden:
Periheldistanz: 0,954 AU
Exzentrizität: 0,741
Inklination: 24,7°
Länge des aufsteigenden Knotens: 252,7°
Argument des Perihels: 202,3°
Mittlere Anomalie: 357,7°
Epoche: 2024 DEC 04 17:22:01
orbit plot

Nicht-interaktives Diagramm | Interaktives Diagramm

position vs time
speed and acceleration