🇳🇴 🇬🇧 🇩🇪 🇨🇿 🇫🇮

Meteor, poloha: Storsteinnes 2024-12-04 19:41:56 UTC

Soubor KML  |  InteraktivnĂ­ mapa

Mapa zobrazuje dráhy meteoru. Světlejší čáry ukazují směry od pozorovacích stanic při objevení se meteoru a tmavší čáry, kde byl naposledy viděn. Modrá šipka značí viditelnou dráhu meteoru.

static map
height profile
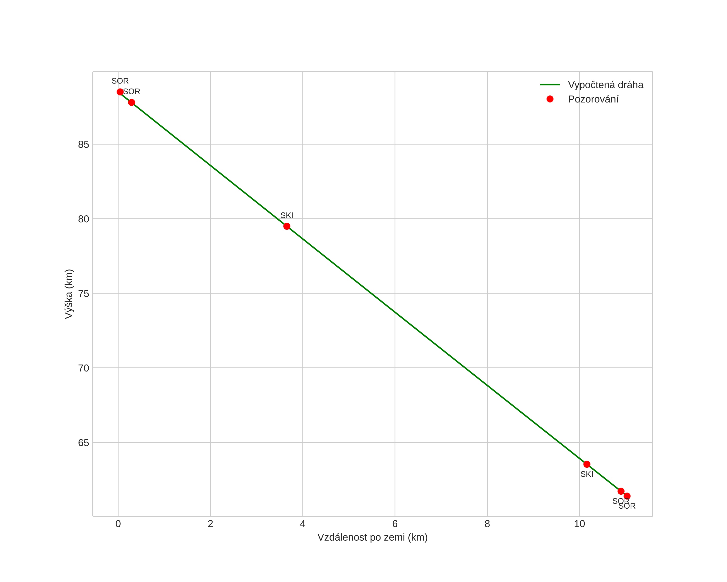
Atmosférická dráha meteoru:
Počáteční výška: 88,5 km
Konečná výška: 61,4 km
Počáteční poloha: 68,786N 19,075E
Konečná poloha: 68,717N 19,273E
Směr: 133,7°
Sklon: 67,8°
VstupnĂ­ rychlost: 23,2 km/s
Rektascenze radiantu: 20:50 (312,7°)
Deklinace radiantu: 72,1°
MeteorickĂ˝ roj: sporadickĂ˝
Elementy dráhy meteoroidu:
Vzdálenost v periheliu: 0,967 AU
Excentricita: 0,693
Sklon dráhy: 30,6°
Délka vzestupného uzlu: 252,8°
Argument perihelia: 197,5°
Střední anomálie: 357,7°
Epocha: 2024 DEC 04 19:41:56
orbit plot

NeinteraktivnĂ­ graf | InteraktivnĂ­ graf

position vs time
speed and acceleration