🇳🇴 🇬🇧 🇩🇪 🇨🇿 🇫🇮

Meteor Storsteinnesin yllä 2024-12-04 19:41:56 UTC

KML-tiedosto  |  Interaktiivinen kartta

Kartta näyttää meteorin suuntahavainnot. Vaaleammat viivat näyttävät suunnat havaintoasemilta meteorin ilmestyessä, ja tummemmat viivat näyttävät, missä se viimeksi nähtiin. Sininen nuoli näyttää meteorin näkyvän lennon.

static map
height profile
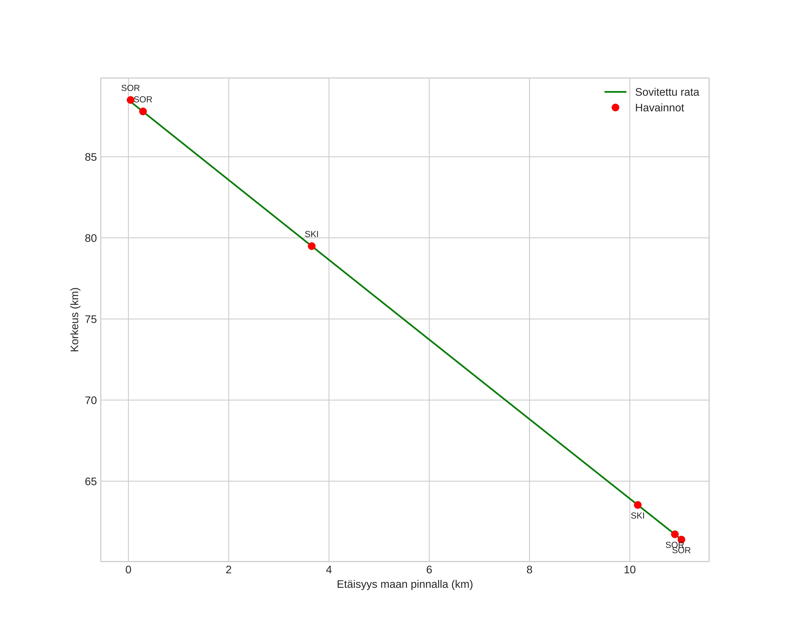
Meteorin ilmakehärata:
Alkukorkeus: 88,5 km
Loppukorkeus: 61,4 km
Alkupiste: 68,786N 19,075E
Loppupiste: 68,717N 19,273E
Suunta: 133,7°
Kallistuskulma: 67,8°
Tulonopeus: 23,2 km/s
Radiantin R,A,: 20:50 (312,7°)
Radiantin Dekl,: 72,1°
Meteoriparvi: Sporadinen
Meteoroidin rataelementit:
Perihelietäisyys: 0,967 AU
Eksentrisyys: 0,693
Inklinaatio: 30,6°
Nousevan solmun pituus: 252,8°
Perihelin argumentti: 197,5°
Keskianomalia: 357,7°
Epookki: 2024 DEC 04 19:41:56
orbit plot

Ei-interaktiivinen kuvaaja | Interaktiivinen kuvaaja

position vs time
speed and acceleration