🇳🇴 🇬🇧 🇩🇪 🇨🇿 🇫🇮

Meteor, poloha: Innbygda 2024-12-08 16:47:55 UTC

Soubor KML  |  InteraktivnĂ­ mapa

Mapa zobrazuje dráhy meteoru. Světlejší čáry ukazují směry od pozorovacích stanic při objevení se meteoru a tmavší čáry, kde byl naposledy viděn. Modrá šipka značí viditelnou dráhu meteoru.

static map
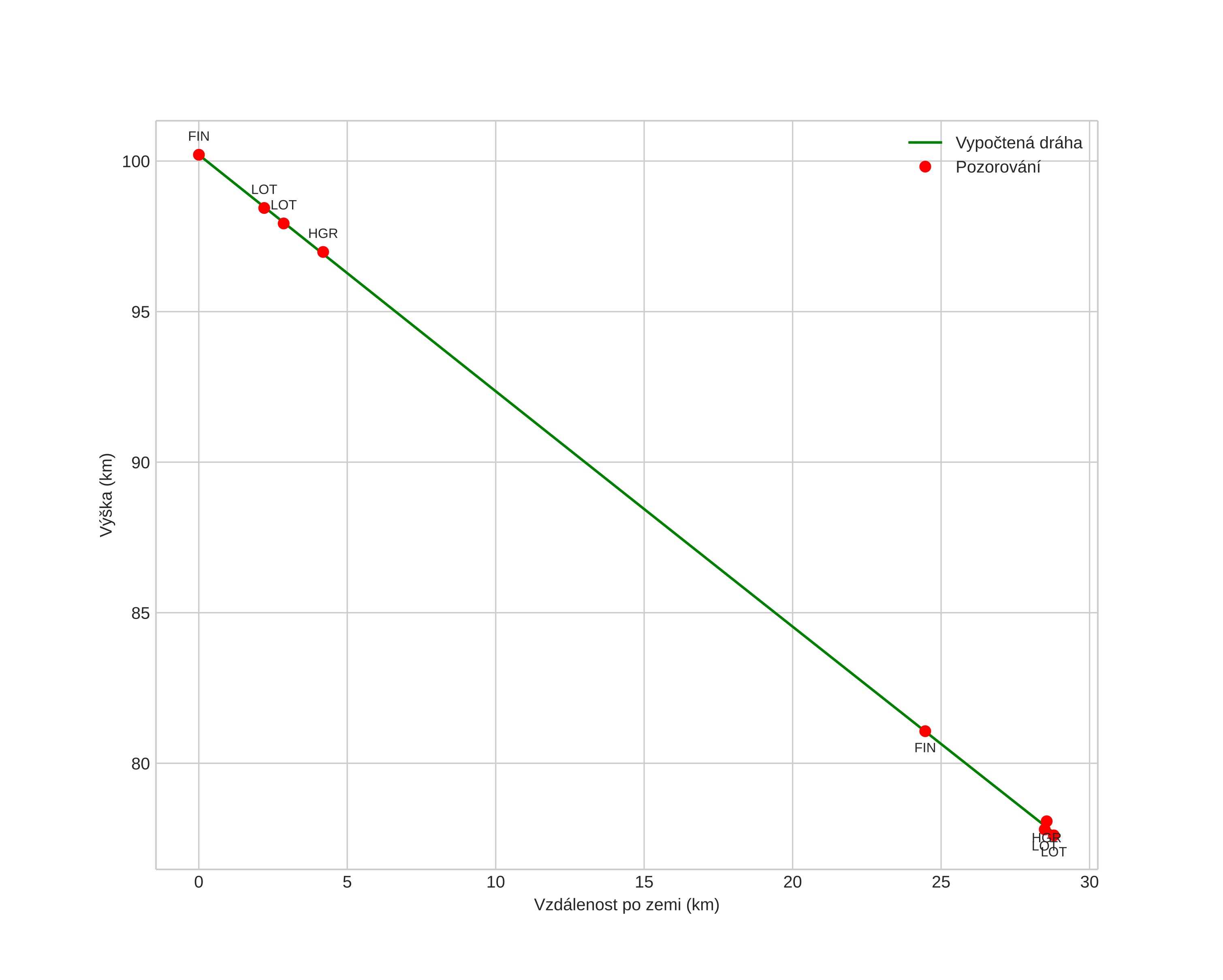
height profile
Atmosférická dráha meteoru:
Počáteční výška: 99,9 km
Konečná výška: 77,5 km
Počáteční poloha: 61,403N 12,390E
Konečná poloha: 61,171N 12,636E
Směr: 152,8°
Sklon: 37,8°
VstupnĂ­ rychlost: 45,7 km/s
Rektascenze radiantu: 13:59 (209,9°)
Deklinace radiantu: 60,2°
MeteorickĂ˝ roj: sporadickĂ˝
Elementy dráhy meteoroidu:
Vzdálenost v periheliu: 0,984 AU
Excentricita: 0,875
Sklon dráhy: 75,4°
Délka vzestupného uzlu: 256,8°
Argument perihelia: 182,8°
Střední anomálie: 359,9°
Epocha: 2024 DEC 08 16:47:55
orbit plot

NeinteraktivnĂ­ graf | InteraktivnĂ­ graf

position vs time
speed and acceleration