🇳🇴 🇬🇧 🇩🇪 🇨🇿 🇫🇮

Meteor Innbygdan yllä 2024-12-08 16:47:55 UTC

KML-tiedosto  |  Interaktiivinen kartta

Kartta näyttää meteorin suuntahavainnot. Vaaleammat viivat näyttävät suunnat havaintoasemilta meteorin ilmestyessä, ja tummemmat viivat näyttävät, missä se viimeksi nähtiin. Sininen nuoli näyttää meteorin näkyvän lennon.

static map
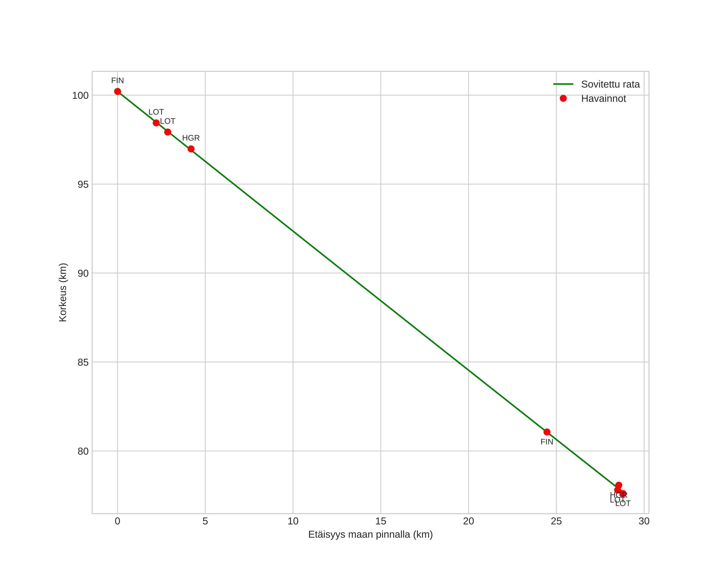
height profile
Meteorin ilmakehärata:
Alkukorkeus: 99,9 km
Loppukorkeus: 77,5 km
Alkupiste: 61,403N 12,390E
Loppupiste: 61,171N 12,636E
Suunta: 152,8°
Kallistuskulma: 37,8°
Tulonopeus: 45,7 km/s
Radiantin R,A,: 13:59 (209,9°)
Radiantin Dekl,: 60,2°
Meteoriparvi: Sporadinen
Meteoroidin rataelementit:
Perihelietäisyys: 0,984 AU
Eksentrisyys: 0,875
Inklinaatio: 75,4°
Nousevan solmun pituus: 256,8°
Perihelin argumentti: 182,8°
Keskianomalia: 359,9°
Epookki: 2024 DEC 08 16:47:55
orbit plot

Ei-interaktiivinen kuvaaja | Interaktiivinen kuvaaja

position vs time
speed and acceleration