🇳🇴 🇬🇧 🇩🇪 🇨🇿 🇫🇮

Meteor, poloha: Hagfors 2024-12-08 19:08:34 UTC

Soubor KML  |  InteraktivnĂ­ mapa

Mapa zobrazuje dráhy meteoru. Světlejší čáry ukazují směry od pozorovacích stanic při objevení se meteoru a tmavší čáry, kde byl naposledy viděn. Modrá šipka značí viditelnou dráhu meteoru.

static map
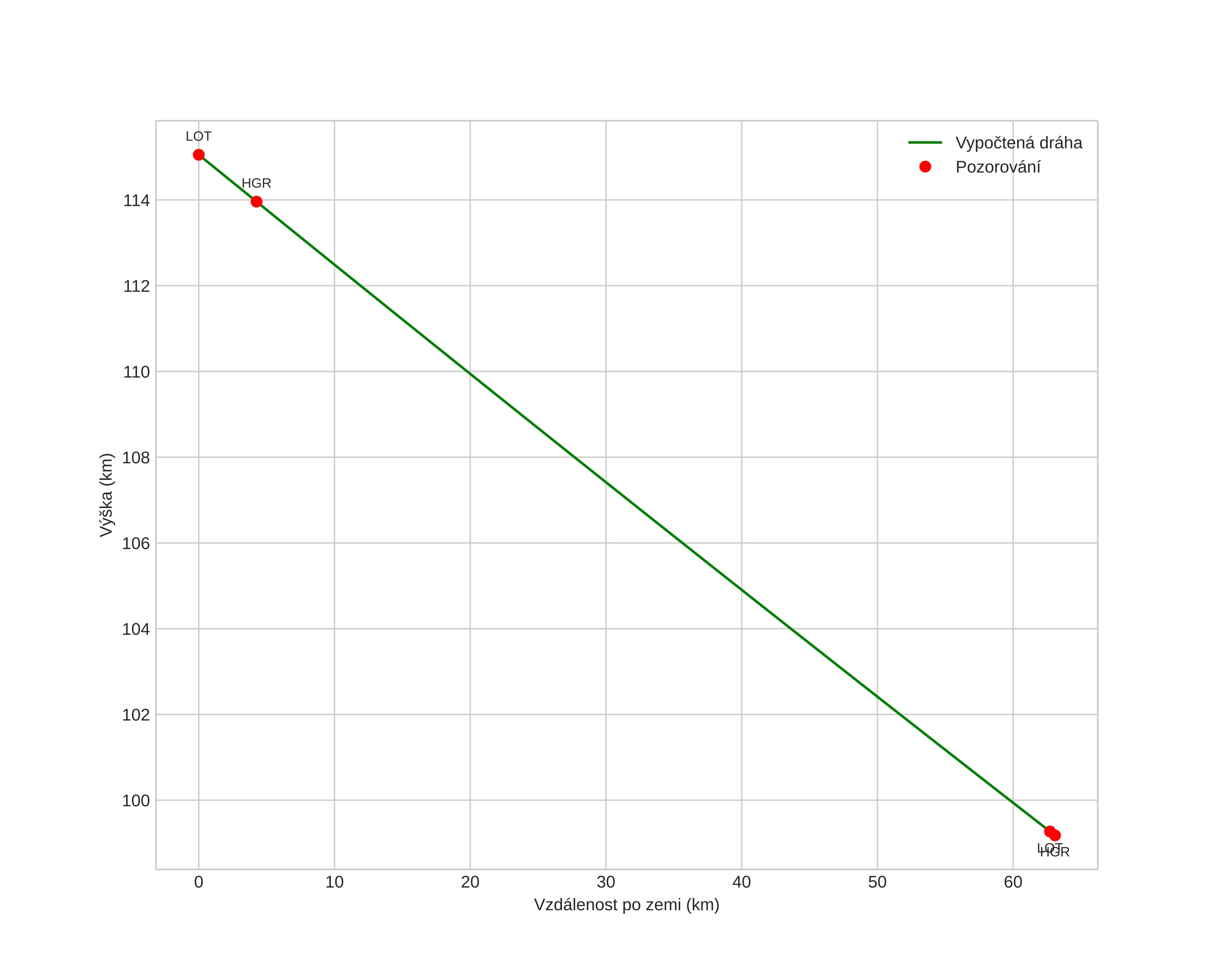
height profile
Atmosférická dráha meteoru:
Počáteční výška: 115,1 km
Konečná výška: 98,9 km
Počáteční poloha: 60,469N 14,708E
Konečná poloha: 60,018N 13,998E
Směr: 218,3°
Sklon: 14,3°
VstupnĂ­ rychlost: 65,0 km/s
Rektascenze radiantu: 10:07 (151,9°)
Deklinace radiantu: 35,7°
MeteorickĂ˝ roj: desember-leonis-minoridene
Elementy dráhy meteoroidu:
Vzdálenost v periheliu: 0,611 AU
Excentricita: 0,998
Sklon dráhy: 132,9°
Délka vzestupného uzlu: 256,9°
Argument perihelia: 256,1°
Střední anomálie: 360,0°
Epocha: 2024 DEC 08 19:08:34
orbit plot

NeinteraktivnĂ­ graf | InteraktivnĂ­ graf

position vs time
speed and acceleration