🇳🇴 🇬🇧 🇩🇪 🇨🇿 🇫🇮

Meteor Hagforsin yllä 2024-12-08 19:08:34 UTC

KML-tiedosto  |  Interaktiivinen kartta

Kartta näyttää meteorin suuntahavainnot. Vaaleammat viivat näyttävät suunnat havaintoasemilta meteorin ilmestyessä, ja tummemmat viivat näyttävät, missä se viimeksi nähtiin. Sininen nuoli näyttää meteorin näkyvän lennon.

static map
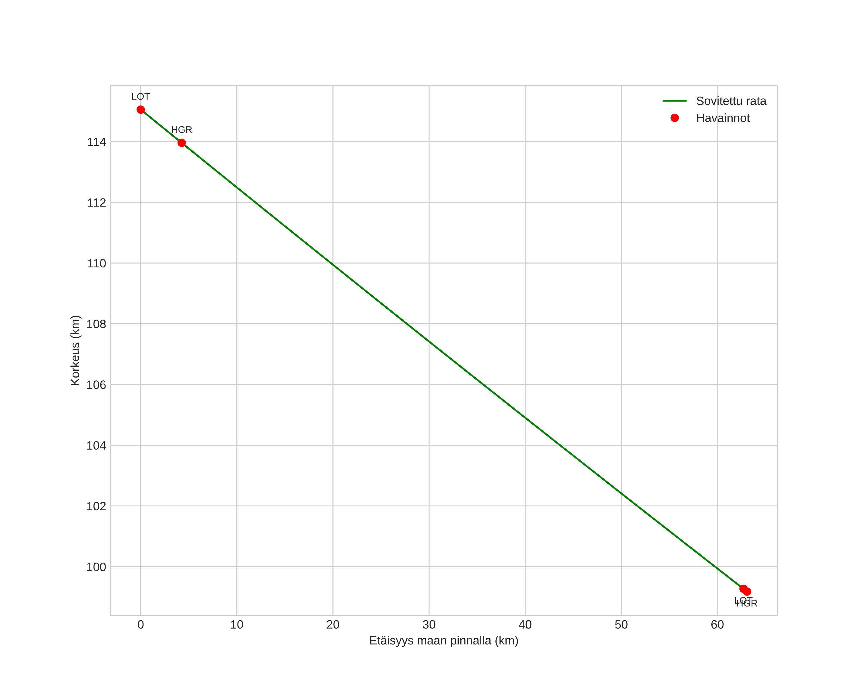
height profile
Meteorin ilmakehärata:
Alkukorkeus: 115,1 km
Loppukorkeus: 98,9 km
Alkupiste: 60,469N 14,708E
Loppupiste: 60,018N 13,998E
Suunta: 218,3°
Kallistuskulma: 14,3°
Tulonopeus: 65,0 km/s
Radiantin R,A,: 10:07 (151,9°)
Radiantin Dekl,: 35,7°
Meteoriparvi: desember-leonis-minoridene
Meteoroidin rataelementit:
Perihelietäisyys: 0,611 AU
Eksentrisyys: 0,998
Inklinaatio: 132,9°
Nousevan solmun pituus: 256,9°
Perihelin argumentti: 256,1°
Keskianomalia: 360,0°
Epookki: 2024 DEC 08 19:08:34
orbit plot

Ei-interaktiivinen kuvaaja | Interaktiivinen kuvaaja

position vs time
speed and acceleration