🇳🇴 🇬🇧 🇩🇪 🇨🇿 🇫🇮

Meteor, poloha: VĂĄler 2024-12-08 20:53:27 UTC

Soubor KML  |  InteraktivnĂ­ mapa

Mapa zobrazuje dráhy meteoru. Světlejší čáry ukazují směry od pozorovacích stanic při objevení se meteoru a tmavší čáry, kde byl naposledy viděn. Modrá šipka značí viditelnou dráhu meteoru.

static map
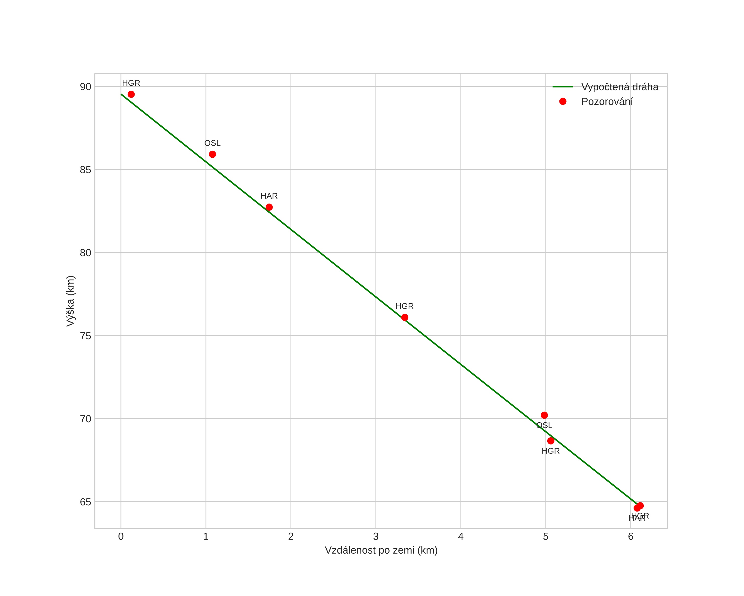
height profile
Atmosférická dráha meteoru:
Počáteční výška: 92,0 km
Konečná výška: 65,0 km
Počáteční poloha: 60,791N 11,722E
Konečná poloha: 60,826N 11,810E
Směr: 51,1°
Sklon: 77,2°
VstupnĂ­ rychlost: 17,5 km/s
Rektascenze radiantu: 01:35 (23,8°)
Deklinace radiantu: 49,8°
MeteorickĂ˝ roj: sporadickĂ˝
Elementy dráhy meteoroidu:
Vzdálenost v periheliu: 0,913 AU
Excentricita: 0,665
Sklon dráhy: 12,6°
Délka vzestupného uzlu: 256,9°
Argument perihelia: 215,2°
Střední anomálie: 354,4°
Epocha: 2024 DEC 08 20:53:27
orbit plot

NeinteraktivnĂ­ graf | InteraktivnĂ­ graf

position vs time
speed and acceleration