🇳🇴 🇬🇧 🇩🇪 🇨🇿 🇫🇮

Meteor Vålerin yllä 2024-12-08 20:53:27 UTC

KML-tiedosto  |  Interaktiivinen kartta

Kartta näyttää meteorin suuntahavainnot. Vaaleammat viivat näyttävät suunnat havaintoasemilta meteorin ilmestyessä, ja tummemmat viivat näyttävät, missä se viimeksi nähtiin. Sininen nuoli näyttää meteorin näkyvän lennon.

static map
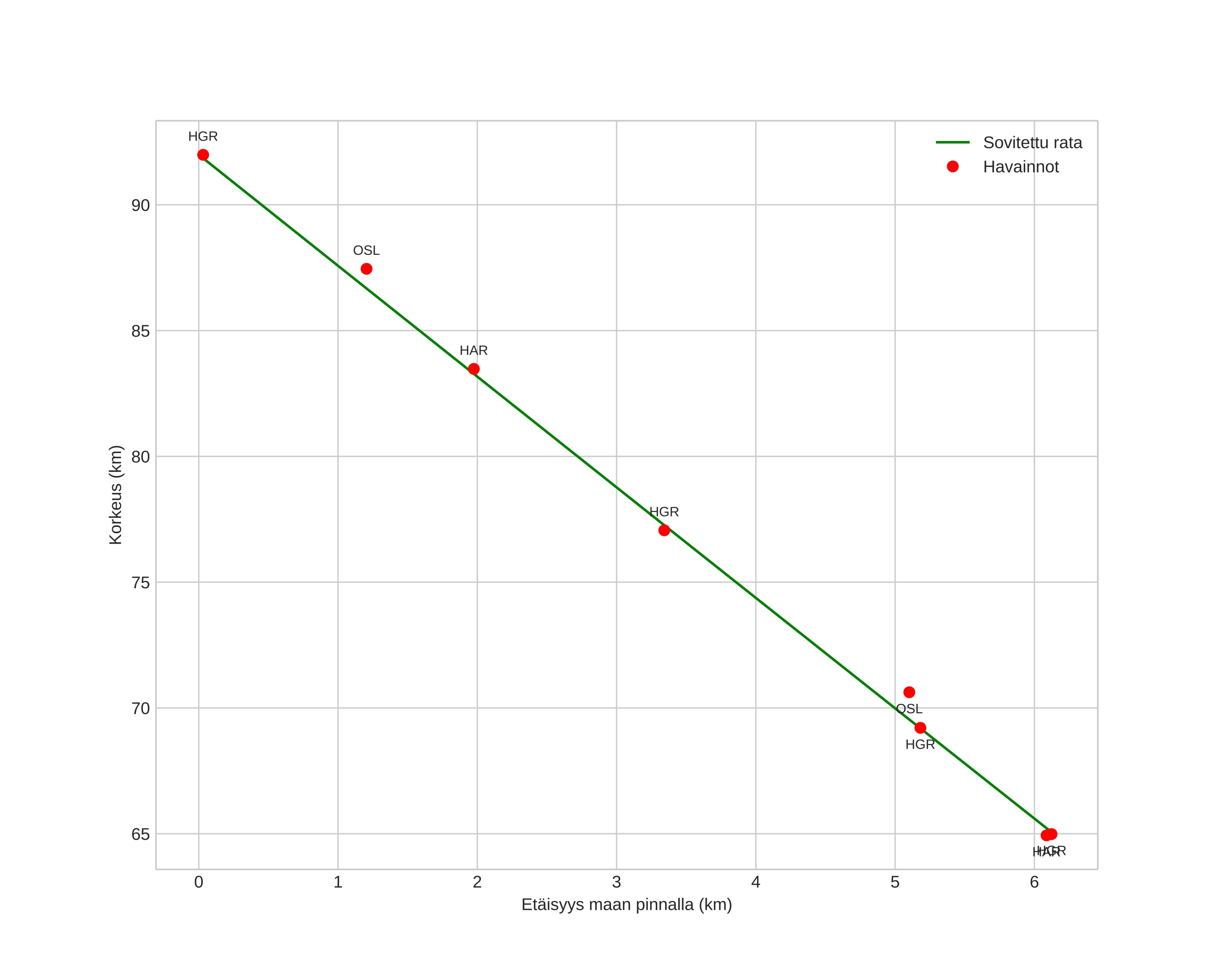
height profile
Meteorin ilmakehärata:
Alkukorkeus: 92,0 km
Loppukorkeus: 65,0 km
Alkupiste: 60,791N 11,722E
Loppupiste: 60,826N 11,810E
Suunta: 51,1°
Kallistuskulma: 77,2°
Tulonopeus: 17,5 km/s
Radiantin R,A,: 01:35 (23,8°)
Radiantin Dekl,: 49,8°
Meteoriparvi: Sporadinen
Meteoroidin rataelementit:
Perihelietäisyys: 0,913 AU
Eksentrisyys: 0,665
Inklinaatio: 12,6°
Nousevan solmun pituus: 256,9°
Perihelin argumentti: 215,2°
Keskianomalia: 354,4°
Epookki: 2024 DEC 08 20:53:27
orbit plot

Ei-interaktiivinen kuvaaja | Interaktiivinen kuvaaja

position vs time
speed and acceleration