🇳🇴 🇬🇧 🇩🇪 🇨🇿 🇫🇮

Meteor, poloha: Flisa 2024-12-08 21:49:17 UTC

Soubor KML  |  InteraktivnĂ­ mapa

Mapa zobrazuje dráhy meteoru. Světlejší čáry ukazují směry od pozorovacích stanic při objevení se meteoru a tmavší čáry, kde byl naposledy viděn. Modrá šipka značí viditelnou dráhu meteoru.

static map
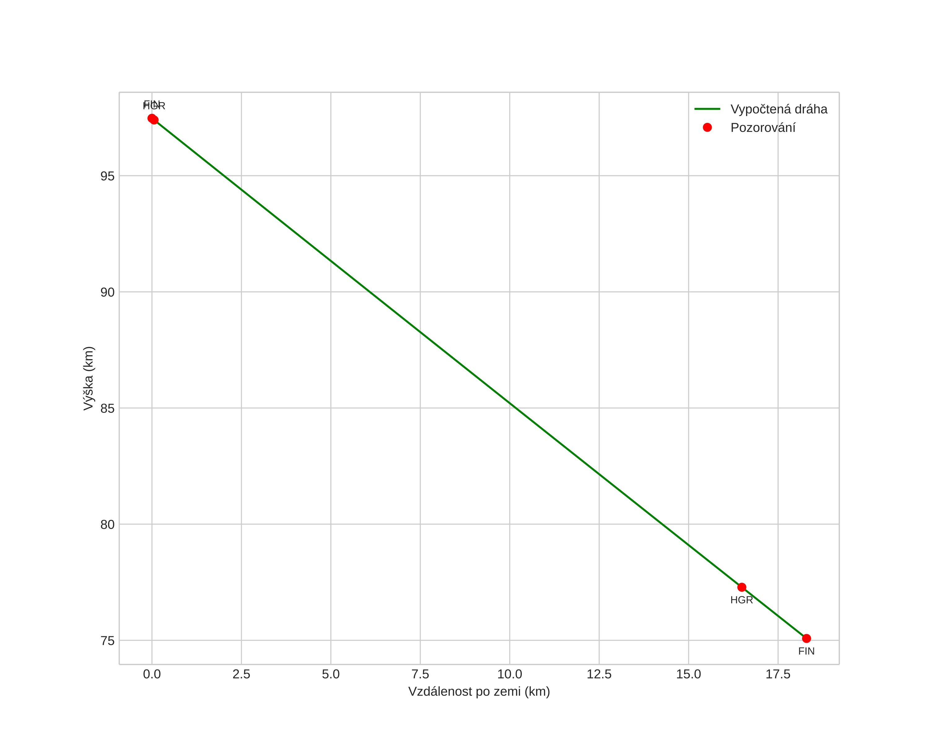
height profile
Atmosférická dráha meteoru:
Počáteční výška: 99,4 km
Konečná výška: 74,5 km
Počáteční poloha: 60,617N 12,764E
Konečná poloha: 60,664N 12,387E
Směr: 284,4°
Sklon: 49,6°
VstupnĂ­ rychlost: 34,8 km/s
Rektascenze radiantu: 07:15 (108,8°)
Deklinace radiantu: 35,0°
MeteorickĂ˝ roj: Geminidy
Elementy dráhy meteoroidu:
Vzdálenost v periheliu: 0,158 AU
Excentricita: 0,870
Sklon dráhy: 25,8°
Délka vzestupného uzlu: 257,0°
Argument perihelia: 323,5°
Střední anomálie: 331,4°
Epocha: 2024 DEC 08 21:49:17
orbit plot

NeinteraktivnĂ­ graf | InteraktivnĂ­ graf

position vs time
speed and acceleration