🇳🇴 🇬🇧 🇩🇪 🇨🇿 🇫🇮

Meteor Flisan yllä 2024-12-08 21:49:17 UTC

KML-tiedosto  |  Interaktiivinen kartta

Kartta näyttää meteorin suuntahavainnot. Vaaleammat viivat näyttävät suunnat havaintoasemilta meteorin ilmestyessä, ja tummemmat viivat näyttävät, missä se viimeksi nähtiin. Sininen nuoli näyttää meteorin näkyvän lennon.

static map
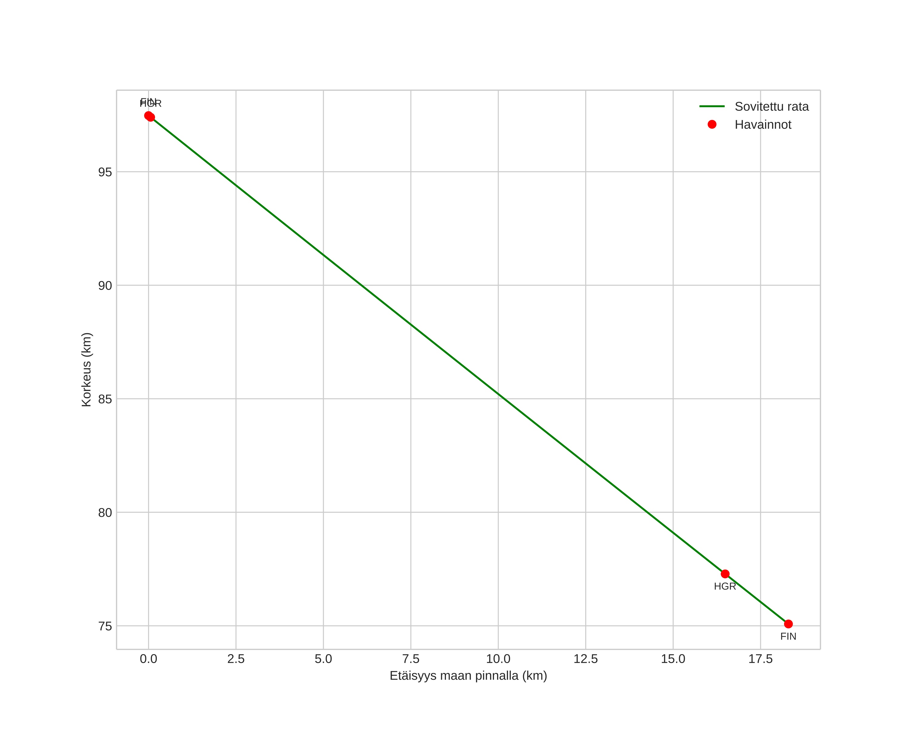
height profile
Meteorin ilmakehärata:
Alkukorkeus: 99,4 km
Loppukorkeus: 74,5 km
Alkupiste: 60,617N 12,764E
Loppupiste: 60,664N 12,387E
Suunta: 284,4°
Kallistuskulma: 49,6°
Tulonopeus: 34,8 km/s
Radiantin R,A,: 07:15 (108,8°)
Radiantin Dekl,: 35,0°
Meteoriparvi: Geminidit
Meteoroidin rataelementit:
Perihelietäisyys: 0,158 AU
Eksentrisyys: 0,870
Inklinaatio: 25,8°
Nousevan solmun pituus: 257,0°
Perihelin argumentti: 323,5°
Keskianomalia: 331,4°
Epookki: 2024 DEC 08 21:49:17
orbit plot

Ei-interaktiivinen kuvaaja | Interaktiivinen kuvaaja

position vs time
speed and acceleration