🇳🇴 🇬🇧 🇩🇪 🇨🇿 🇫🇮

Meteor, poloha: Innbygda 2024-12-08 22:36:06 UTC

Soubor KML  |  InteraktivnĂ­ mapa

Mapa zobrazuje dráhy meteoru. Světlejší čáry ukazují směry od pozorovacích stanic při objevení se meteoru a tmavší čáry, kde byl naposledy viděn. Modrá šipka značí viditelnou dráhu meteoru.

static map
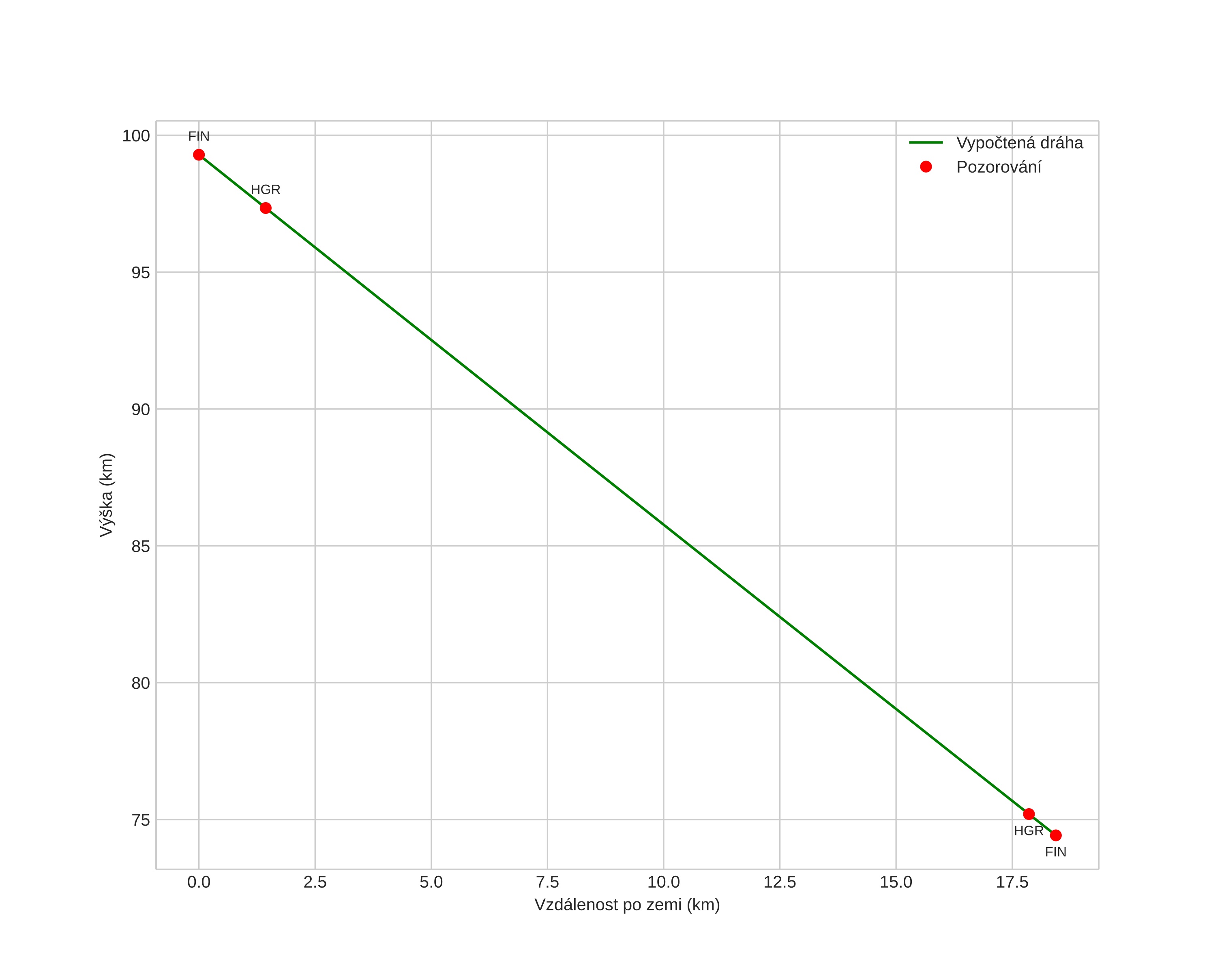
height profile
Atmosférická dráha meteoru:
Počáteční výška: 99,2 km
Konečná výška: 74,4 km
Počáteční poloha: 61,129N 12,829E
Konečná poloha: 61,216N 12,532E
Směr: 301,4°
Sklon: 53,1°
VstupnĂ­ rychlost: 37,4 km/s
Rektascenze radiantu: 07:09 (107,4°)
Deklinace radiantu: 32,6°
MeteorickĂ˝ roj: Geminidy
Elementy dráhy meteoroidu:
Vzdálenost v periheliu: 0,132 AU
Excentricita: 0,912
Sklon dráhy: 24,3°
Délka vzestupného uzlu: 257,0°
Argument perihelia: 324,7°
Střední anomálie: 340,4°
Epocha: 2024 DEC 08 22:36:06
orbit plot

NeinteraktivnĂ­ graf | InteraktivnĂ­ graf

position vs time
speed and acceleration