🇳🇴 🇬🇧 🇩🇪 🇨🇿 🇫🇮

Meteor Innbygdan yllä 2024-12-08 22:36:06 UTC

KML-tiedosto  |  Interaktiivinen kartta

Kartta näyttää meteorin suuntahavainnot. Vaaleammat viivat näyttävät suunnat havaintoasemilta meteorin ilmestyessä, ja tummemmat viivat näyttävät, missä se viimeksi nähtiin. Sininen nuoli näyttää meteorin näkyvän lennon.

static map
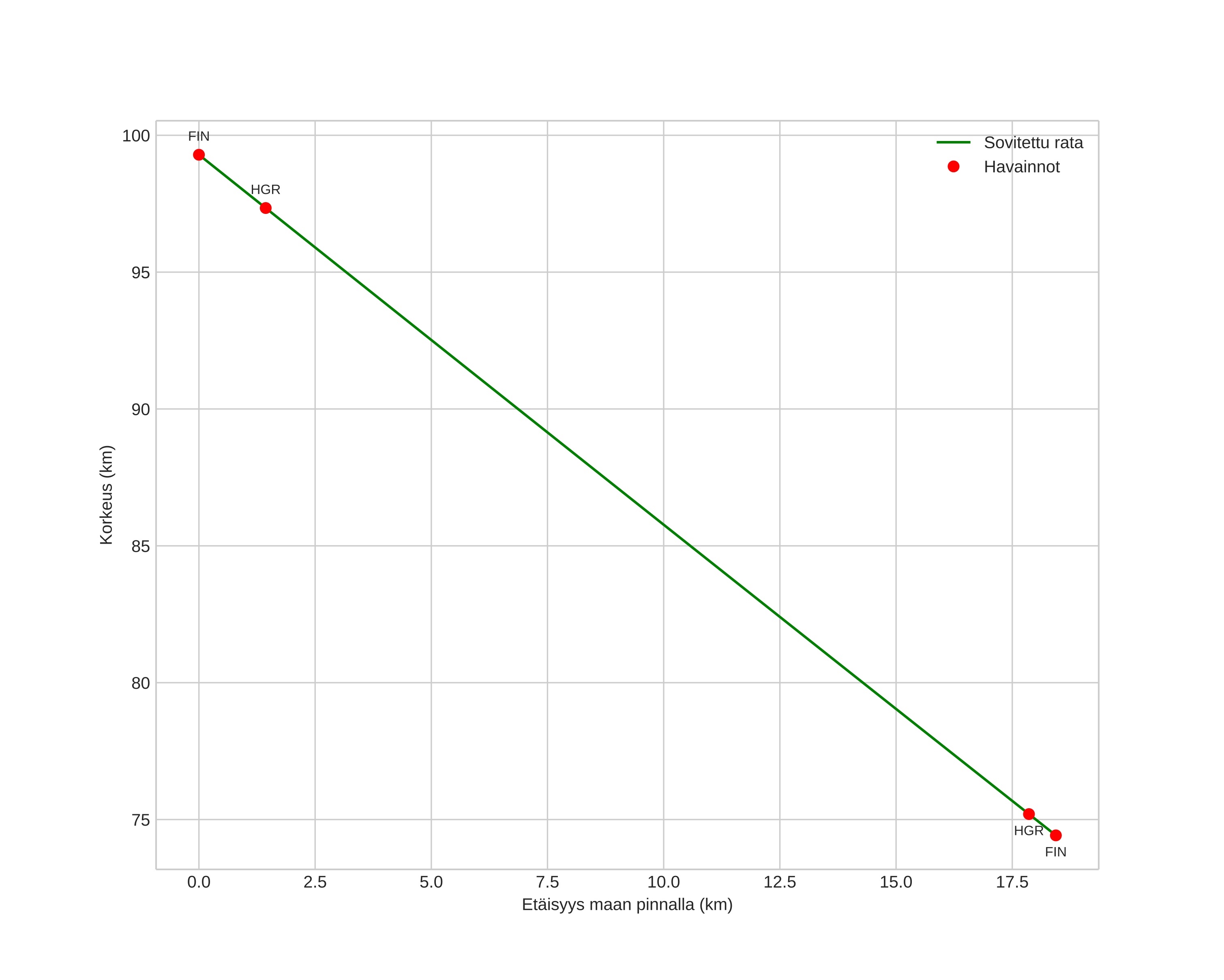
height profile
Meteorin ilmakehärata:
Alkukorkeus: 99,2 km
Loppukorkeus: 74,4 km
Alkupiste: 61,129N 12,829E
Loppupiste: 61,216N 12,532E
Suunta: 301,4°
Kallistuskulma: 53,1°
Tulonopeus: 37,4 km/s
Radiantin R,A,: 07:09 (107,4°)
Radiantin Dekl,: 32,6°
Meteoriparvi: Geminidit
Meteoroidin rataelementit:
Perihelietäisyys: 0,132 AU
Eksentrisyys: 0,912
Inklinaatio: 24,3°
Nousevan solmun pituus: 257,0°
Perihelin argumentti: 324,7°
Keskianomalia: 340,4°
Epookki: 2024 DEC 08 22:36:06
orbit plot

Ei-interaktiivinen kuvaaja | Interaktiivinen kuvaaja

position vs time
speed and acceleration