🇳🇴 🇬🇧 🇩🇪 🇨🇿 🇫🇮

Meteor, poloha: Dokka 2024-12-09 00:16:28 UTC

Soubor KML  |  InteraktivnĂ­ mapa

Mapa zobrazuje dráhy meteoru. Světlejší čáry ukazují směry od pozorovacích stanic při objevení se meteoru a tmavší čáry, kde byl naposledy viděn. Modrá šipka značí viditelnou dráhu meteoru.

static map
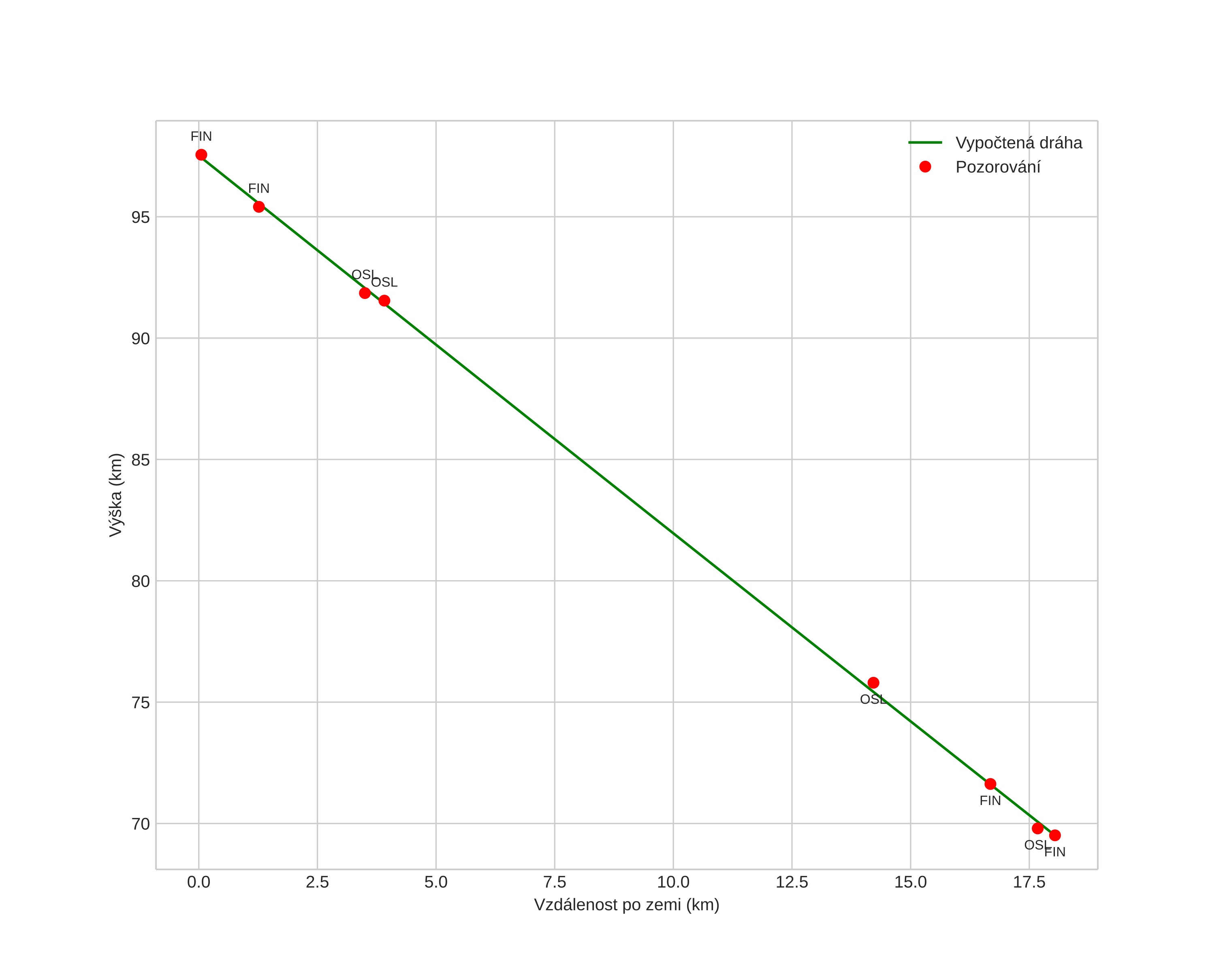
height profile
Atmosférická dráha meteoru:
Počáteční výška: 97,9 km
Konečná výška: 69,4 km
Počáteční poloha: 60,654N 9,922E
Konečná poloha: 60,815N 10,001E
Směr: 13,5°
Sklon: 57,2°
VstupnĂ­ rychlost: 28,3 km/s
Rektascenze radiantu: 05:31 (82,9°)
Deklinace radiantu: 26,7°
MeteorickĂ˝ roj: SevernĂ­ Tauridy
Elementy dráhy meteoroidu:
Vzdálenost v periheliu: 0,451 AU
Excentricita: 0,809
Sklon dráhy: 3,3°
Délka vzestupného uzlu: 257,0°
Argument perihelia: 282,3°
Střední anomálie: 348,2°
Epocha: 2024 DEC 09 00:16:28
orbit plot

NeinteraktivnĂ­ graf | InteraktivnĂ­ graf

position vs time
speed and acceleration