🇳🇴 🇬🇧 🇩🇪 🇨🇿 🇫🇮

Meteor Dokkan yllä 2024-12-09 00:16:28 UTC

KML-tiedosto  |  Interaktiivinen kartta

Kartta näyttää meteorin suuntahavainnot. Vaaleammat viivat näyttävät suunnat havaintoasemilta meteorin ilmestyessä, ja tummemmat viivat näyttävät, missä se viimeksi nähtiin. Sininen nuoli näyttää meteorin näkyvän lennon.

static map
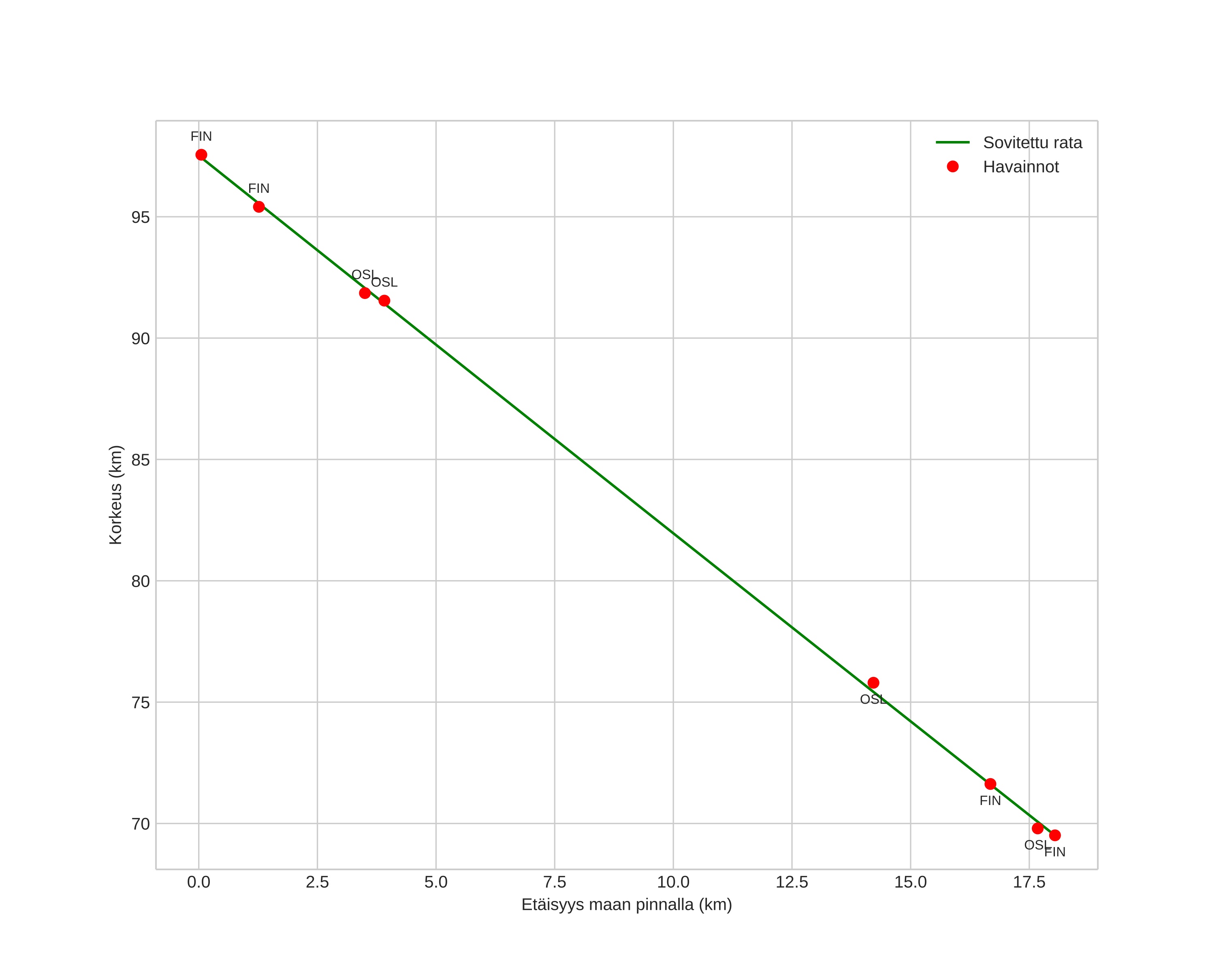
height profile
Meteorin ilmakehärata:
Alkukorkeus: 97,9 km
Loppukorkeus: 69,4 km
Alkupiste: 60,654N 9,922E
Loppupiste: 60,815N 10,001E
Suunta: 13,5°
Kallistuskulma: 57,2°
Tulonopeus: 28,3 km/s
Radiantin R,A,: 05:31 (82,9°)
Radiantin Dekl,: 26,7°
Meteoriparvi: Pohjoiset tauridit
Meteoroidin rataelementit:
Perihelietäisyys: 0,451 AU
Eksentrisyys: 0,809
Inklinaatio: 3,3°
Nousevan solmun pituus: 257,0°
Perihelin argumentti: 282,3°
Keskianomalia: 348,2°
Epookki: 2024 DEC 09 00:16:28
orbit plot

Ei-interaktiivinen kuvaaja | Interaktiivinen kuvaaja

position vs time
speed and acceleration