🇳🇴 🇬🇧 🇩🇪 🇨🇿 🇫🇮

Meteor, poloha: Lærdalsøyri 2024-12-09 01:17:38 UTC

Soubor KML  |  InteraktivnĂ­ mapa

Mapa zobrazuje dráhy meteoru. Světlejší čáry ukazují směry od pozorovacích stanic při objevení se meteoru a tmavší čáry, kde byl naposledy viděn. Modrá šipka značí viditelnou dráhu meteoru.

static map
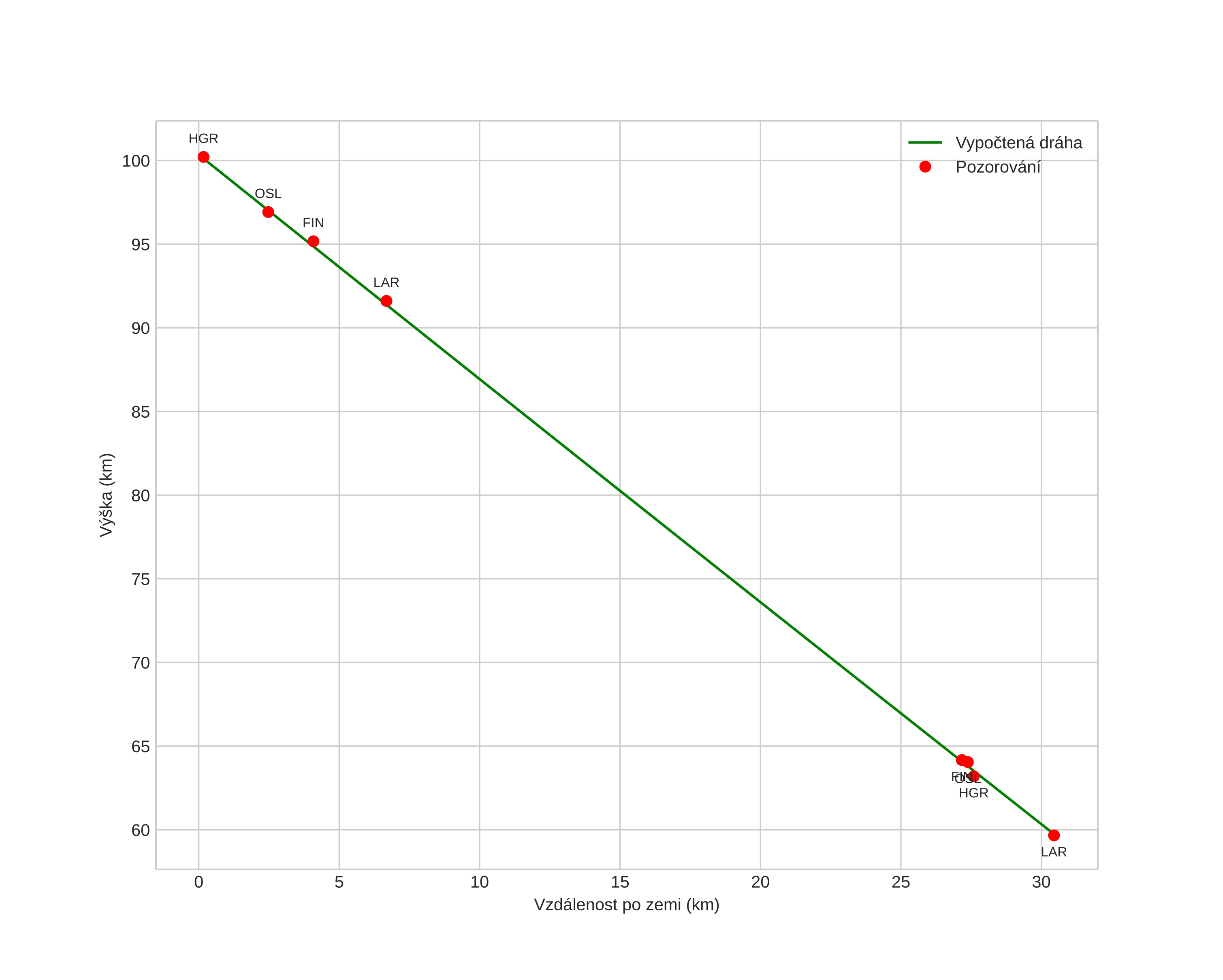
height profile
Atmosférická dráha meteoru:
Počáteční výška: 100,5 km
Konečná výška: 63,3 km
Počáteční poloha: 60,601N 7,437E
Konečná poloha: 60,825N 7,664E
Směr: 26,3°
Sklon: 53,2°
VstupnĂ­ rychlost: 29,6 km/s
Rektascenze radiantu: 05:46 (86,7°)
Deklinace radiantu: 24,2°
MeteorickĂ˝ roj: SevernĂ­ Tauridy
Elementy dráhy meteoroidu:
Vzdálenost v periheliu: 0,390 AU
Excentricita: 0,823
Sklon dráhy: 0,8°
Délka vzestupného uzlu: 256,9°
Argument perihelia: 290,0°
Střední anomálie: 347,1°
Epocha: 2024 DEC 09 01:17:38
orbit plot

NeinteraktivnĂ­ graf | InteraktivnĂ­ graf

position vs time
speed and acceleration