🇳🇴 🇬🇧 🇩🇪 🇨🇿 🇫🇮

Meteor Lærdalsøyrin yllä 2024-12-09 01:17:38 UTC

KML-tiedosto  |  Interaktiivinen kartta

Kartta näyttää meteorin suuntahavainnot. Vaaleammat viivat näyttävät suunnat havaintoasemilta meteorin ilmestyessä, ja tummemmat viivat näyttävät, missä se viimeksi nähtiin. Sininen nuoli näyttää meteorin näkyvän lennon.

static map
height profile
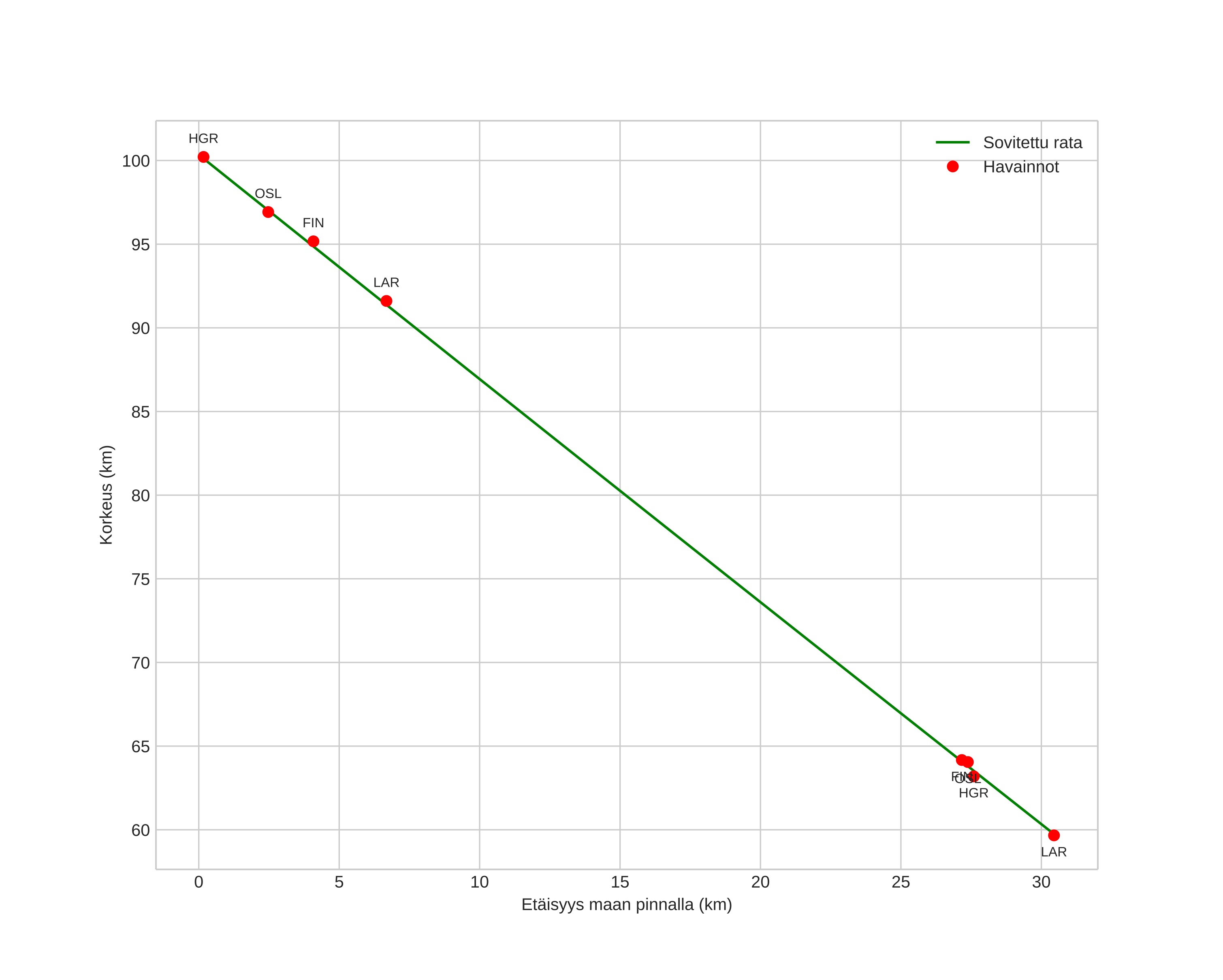
Meteorin ilmakehärata:
Alkukorkeus: 100,5 km
Loppukorkeus: 63,3 km
Alkupiste: 60,601N 7,437E
Loppupiste: 60,825N 7,664E
Suunta: 26,3°
Kallistuskulma: 53,2°
Tulonopeus: 29,6 km/s
Radiantin R,A,: 05:46 (86,7°)
Radiantin Dekl,: 24,2°
Meteoriparvi: Pohjoiset tauridit
Meteoroidin rataelementit:
Perihelietäisyys: 0,390 AU
Eksentrisyys: 0,823
Inklinaatio: 0,8°
Nousevan solmun pituus: 256,9°
Perihelin argumentti: 290,0°
Keskianomalia: 347,1°
Epookki: 2024 DEC 09 01:17:38
orbit plot

Ei-interaktiivinen kuvaaja | Interaktiivinen kuvaaja

position vs time
speed and acceleration