🇳🇴 🇬🇧 🇩🇪 🇨🇿 🇫🇮

Meteor, poloha: Reinsvoll 2024-12-09 01:47:43 UTC

Soubor KML

Mapa zobrazuje dráhy meteoru. Světlejší čáry ukazují směry od pozorovacích stanic při objevení se meteoru a tmavší čáry, kde byl naposledy viděn. Modrá šipka značí viditelnou dráhu meteoru.

static map
height profile
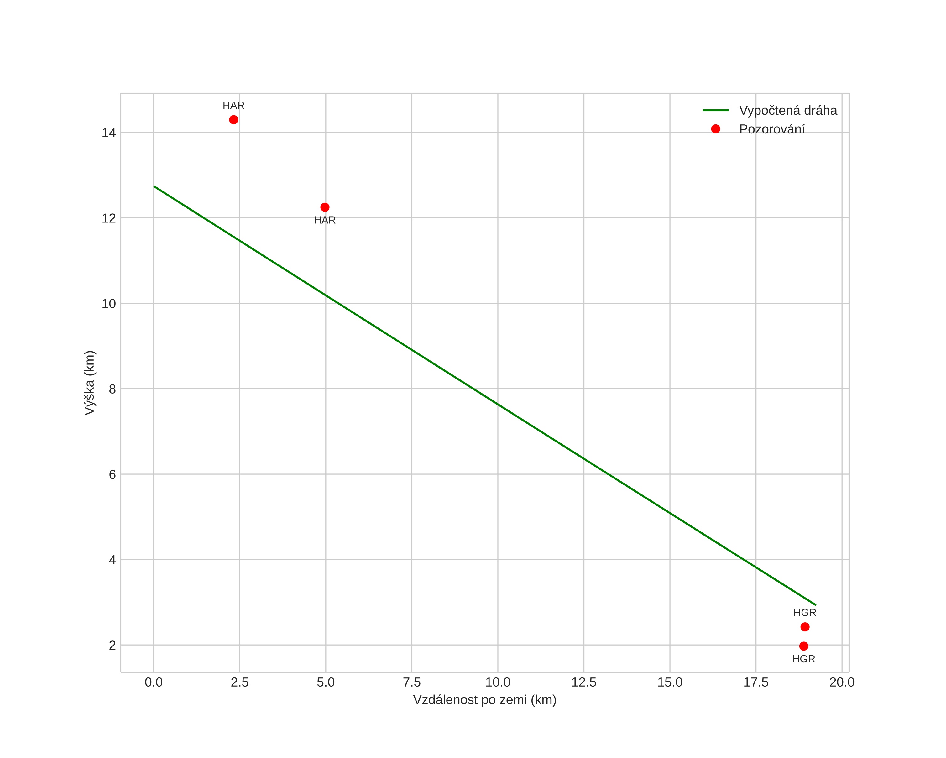
Atmosférická dráha meteoru:
Počáteční výška: 12,7 km
Konečná výška: 2,9 km
Počáteční poloha: 60,464N 10,485E
Konečná poloha: 60,632N 10,567E
Směr: 13,4°
Sklon: 27,0°
VstupnĂ­ rychlost: 0,2 km/s
position vs time
speed and acceleration