🇳🇴 🇬🇧 🇩🇪 🇨🇿 🇫🇮

Meteor über Reinsvoll 2024-12-09 01:47:43 UTC

KML-Datei

Die Karte zeigt die Peilungen für den Meteor. Die helleren Linien zeigen die Richtungen von den Beobachtungsorten beim Erscheinen des Meteors, und die dunkleren Linien, wo er zuletzt gesehen wurde. Der blaue Pfeil zeigt die sichtbare Bahn des Meteors.

static map
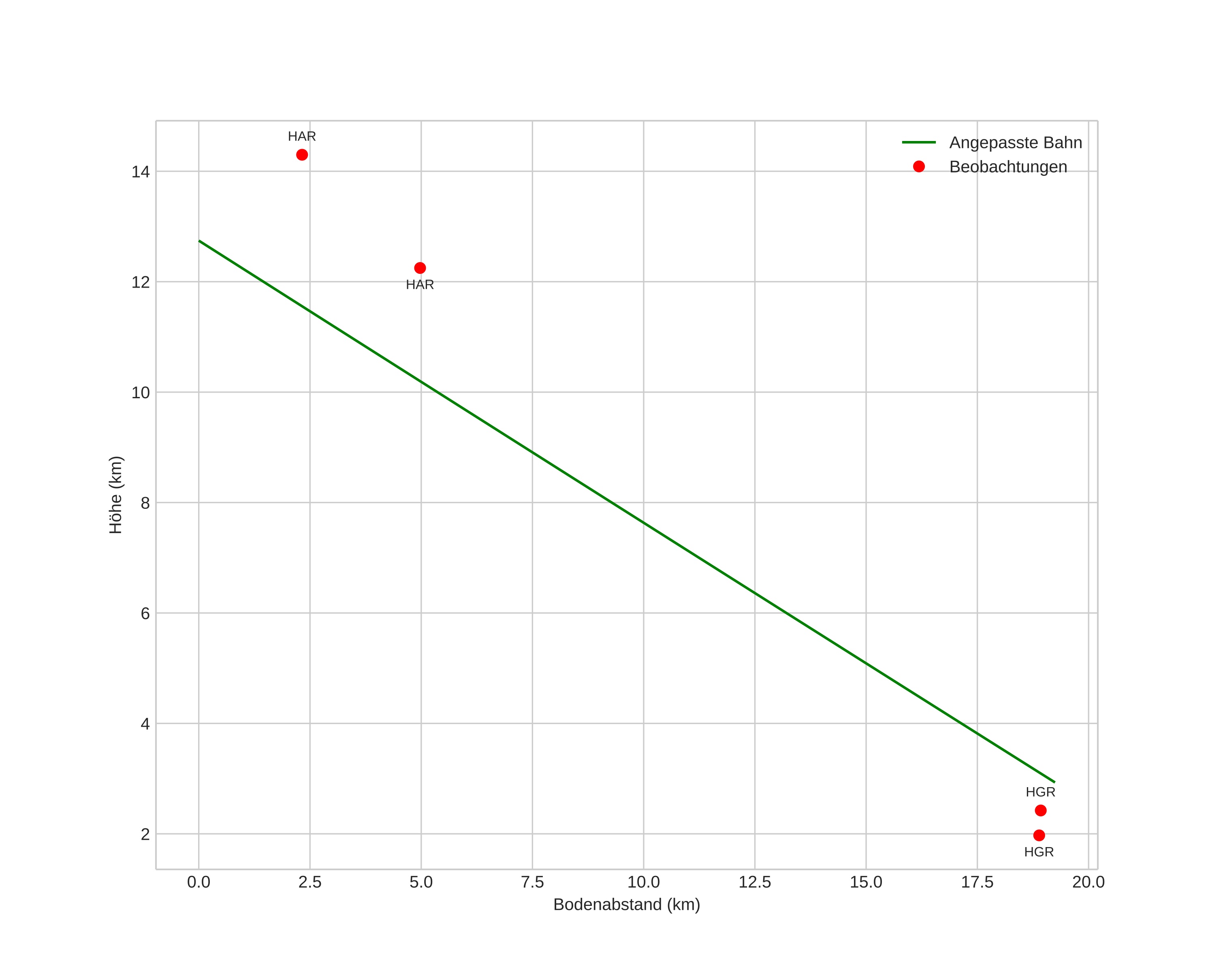
height profile
Atmosphärische Bahn des Meteors:
Anfangshöhe: 12,7 km
Endhöhe: 2,9 km
Startposition: 60,464N 10,485E
Endposition: 60,632N 10,567E
Richtung: 13,4°
Neigungswinkel: 27,0°
Eintrittsgeschwindigkeit: 0,2 km/s
position vs time
speed and acceleration