🇳🇴 🇬🇧 🇩🇪 🇨🇿 🇫🇮

Meteor, poloha: Kirkenær 2024-12-09 03:00:25 UTC

Soubor KML  |  InteraktivnĂ­ mapa

Mapa zobrazuje dráhy meteoru. Světlejší čáry ukazují směry od pozorovacích stanic při objevení se meteoru a tmavší čáry, kde byl naposledy viděn. Modrá šipka značí viditelnou dráhu meteoru.

static map
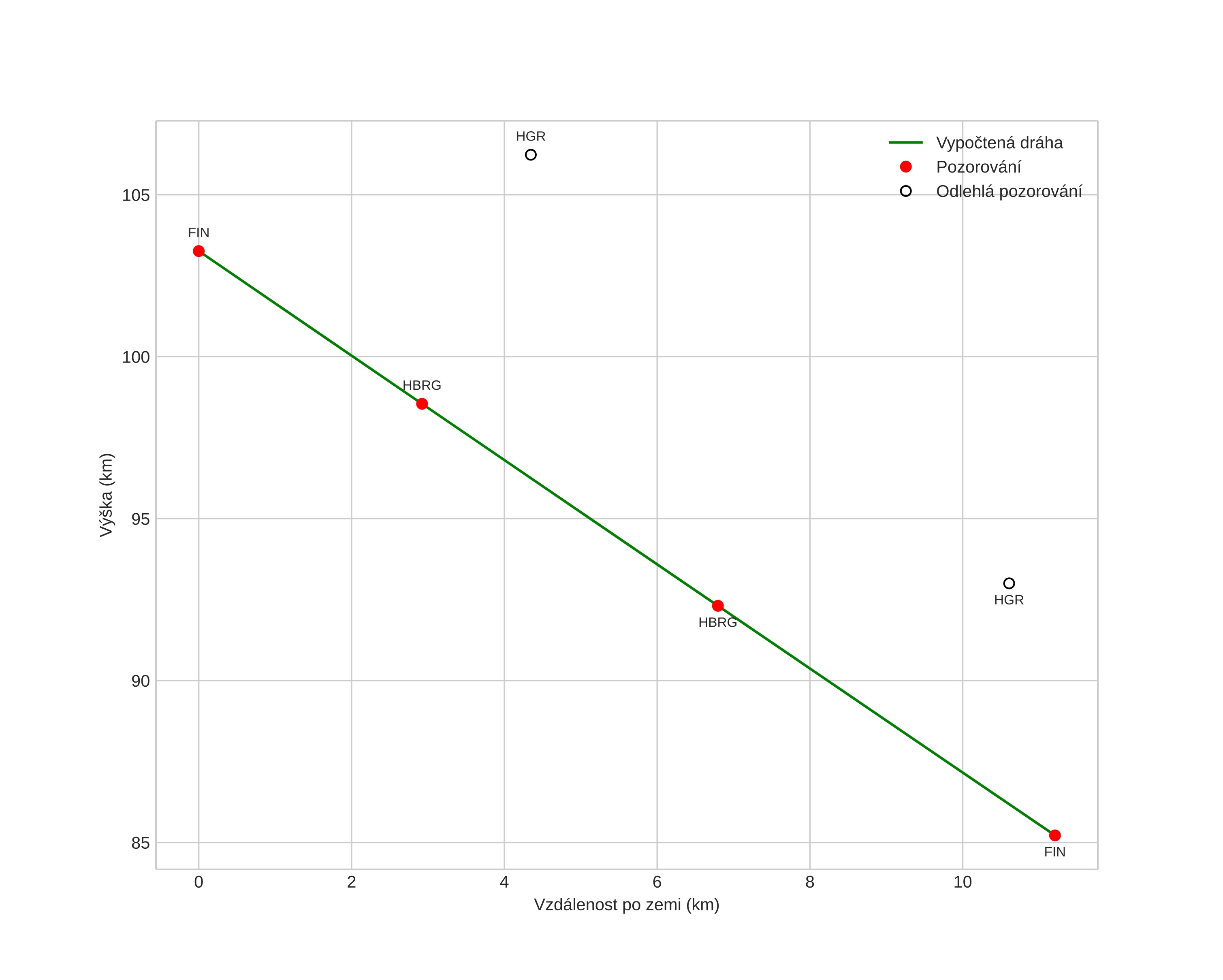
height profile
Atmosférická dráha meteoru:
Počáteční výška: 104,1 km
Konečná výška: 85,2 km
Počáteční poloha: 60,455N 12,388E
Konečná poloha: 60,399N 12,207E
Směr: 237,9°
Sklon: 58,1°
VstupnĂ­ rychlost: 43,2 km/s
Rektascenze radiantu: 13:38 (204,7°)
Deklinace radiantu: 61,3°
MeteorickĂ˝ roj: sporadickĂ˝
Elementy dráhy meteoroidu:
Vzdálenost v periheliu: 0,978 AU
Excentricita: 0,654
Sklon dráhy: 73,4°
Délka vzestupného uzlu: 257,2°
Argument perihelia: 190,9°
Střední anomálie: 358,3°
Epocha: 2024 DEC 09 03:00:25
orbit plot

NeinteraktivnĂ­ graf | InteraktivnĂ­ graf

position vs time
speed and acceleration