🇳🇴 🇬🇧 🇩🇪 🇨🇿 🇫🇮

Meteor Kirkenærin yllä 2024-12-09 03:00:25 UTC

KML-tiedosto  |  Interaktiivinen kartta

Kartta näyttää meteorin suuntahavainnot. Vaaleammat viivat näyttävät suunnat havaintoasemilta meteorin ilmestyessä, ja tummemmat viivat näyttävät, missä se viimeksi nähtiin. Sininen nuoli näyttää meteorin näkyvän lennon.

static map
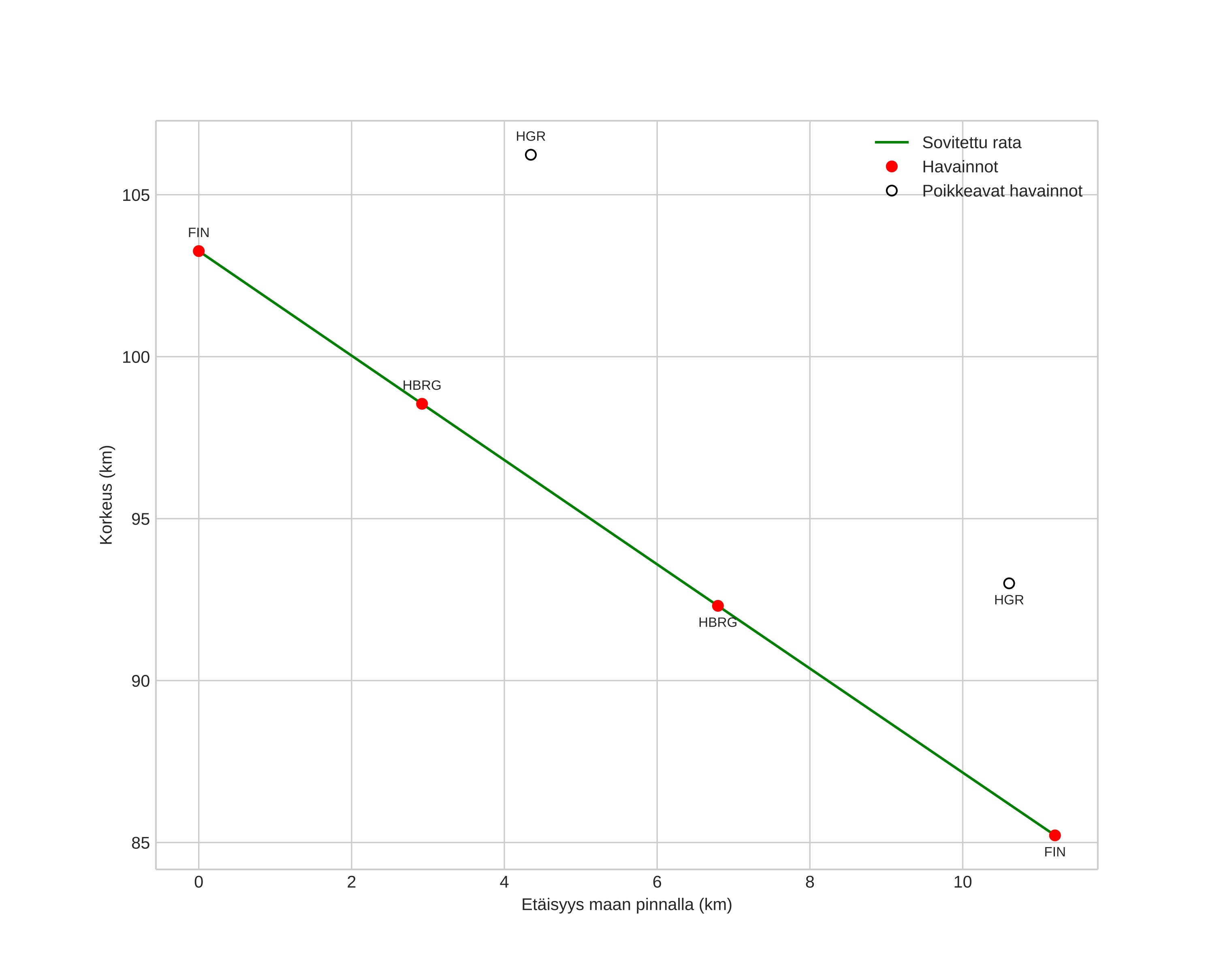
height profile
Meteorin ilmakehärata:
Alkukorkeus: 104,1 km
Loppukorkeus: 85,2 km
Alkupiste: 60,455N 12,388E
Loppupiste: 60,399N 12,207E
Suunta: 237,9°
Kallistuskulma: 58,1°
Tulonopeus: 43,2 km/s
Radiantin R,A,: 13:38 (204,7°)
Radiantin Dekl,: 61,3°
Meteoriparvi: Sporadinen
Meteoroidin rataelementit:
Perihelietäisyys: 0,978 AU
Eksentrisyys: 0,654
Inklinaatio: 73,4°
Nousevan solmun pituus: 257,2°
Perihelin argumentti: 190,9°
Keskianomalia: 358,3°
Epookki: 2024 DEC 09 03:00:25
orbit plot

Ei-interaktiivinen kuvaaja | Interaktiivinen kuvaaja

position vs time
speed and acceleration