🇳🇴 🇬🇧 🇩🇪 🇨🇿 🇫🇮

Meteor, poloha: Skotterud 2024-12-09 03:13:45 UTC

Soubor KML  |  InteraktivnĂ­ mapa

Mapa zobrazuje dráhy meteoru. Světlejší čáry ukazují směry od pozorovacích stanic při objevení se meteoru a tmavší čáry, kde byl naposledy viděn. Modrá šipka značí viditelnou dráhu meteoru.

static map
height profile
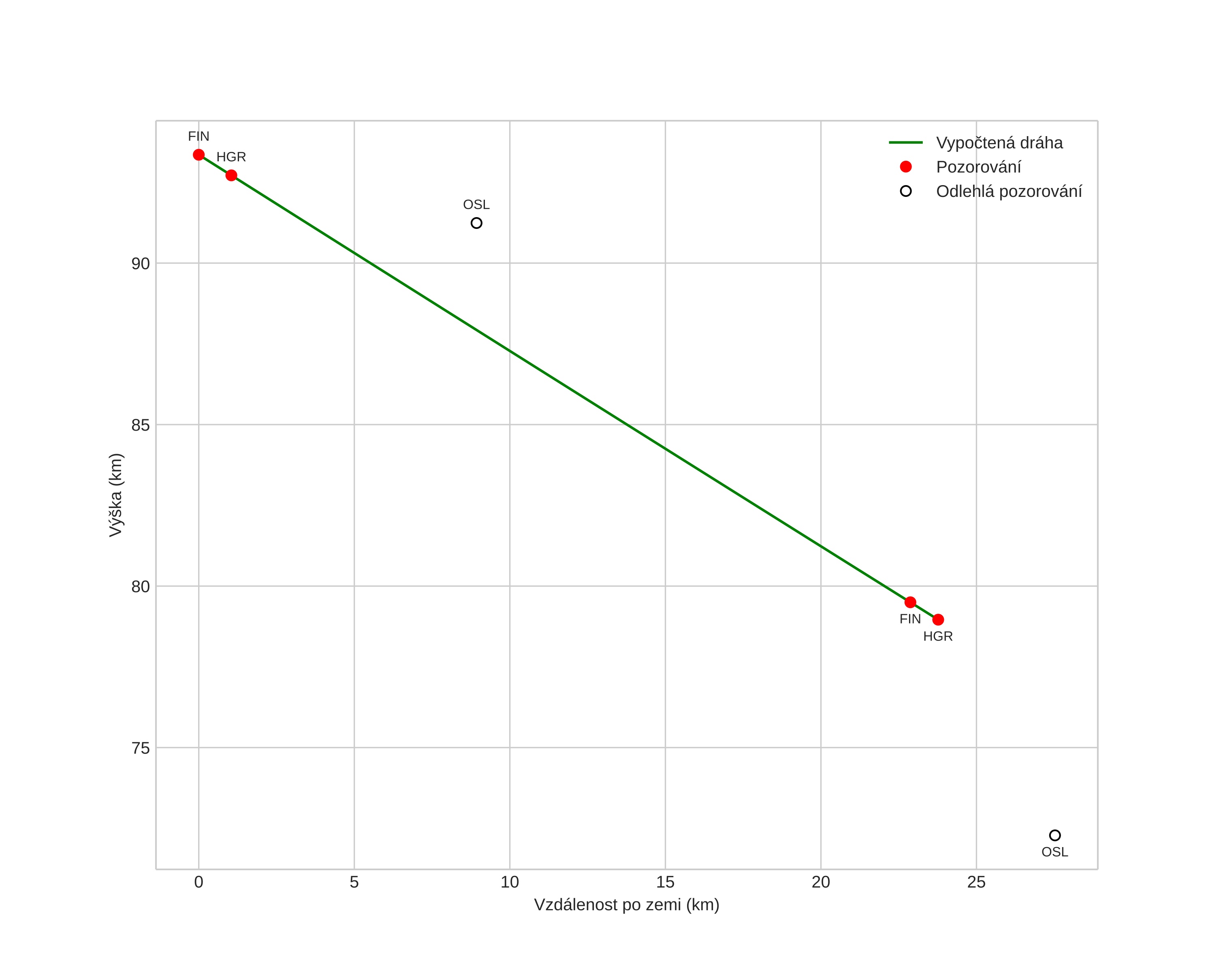
Atmosférická dráha meteoru:
Počáteční výška: 93,3 km
Konečná výška: 79,0 km
Počáteční poloha: 60,142N 12,542E
Konečná poloha: 59,996N 12,229E
Směr: 226,9°
Sklon: 31,0°
VstupnĂ­ rychlost: 33,1 km/s
Rektascenze radiantu: 16:50 (252,6°)
Deklinace radiantu: 46,3°
MeteorickĂ˝ roj: sporadickĂ˝
Elementy dráhy meteoroidu:
Vzdálenost v periheliu: 0,906 AU
Excentricita: 0,822
Sklon dráhy: 47,7°
Délka vzestupného uzlu: 257,2°
Argument perihelia: 145,4°
Střední anomálie: 2,0°
Epocha: 2024 DEC 09 03:13:45
orbit plot

NeinteraktivnĂ­ graf | InteraktivnĂ­ graf

position vs time
speed and acceleration