🇳🇴 🇬🇧 🇩🇪 🇨🇿 🇫🇮

Meteor Skotterudin yllä 2024-12-09 03:13:45 UTC

KML-tiedosto  |  Interaktiivinen kartta

Kartta näyttää meteorin suuntahavainnot. Vaaleammat viivat näyttävät suunnat havaintoasemilta meteorin ilmestyessä, ja tummemmat viivat näyttävät, missä se viimeksi nähtiin. Sininen nuoli näyttää meteorin näkyvän lennon.

static map
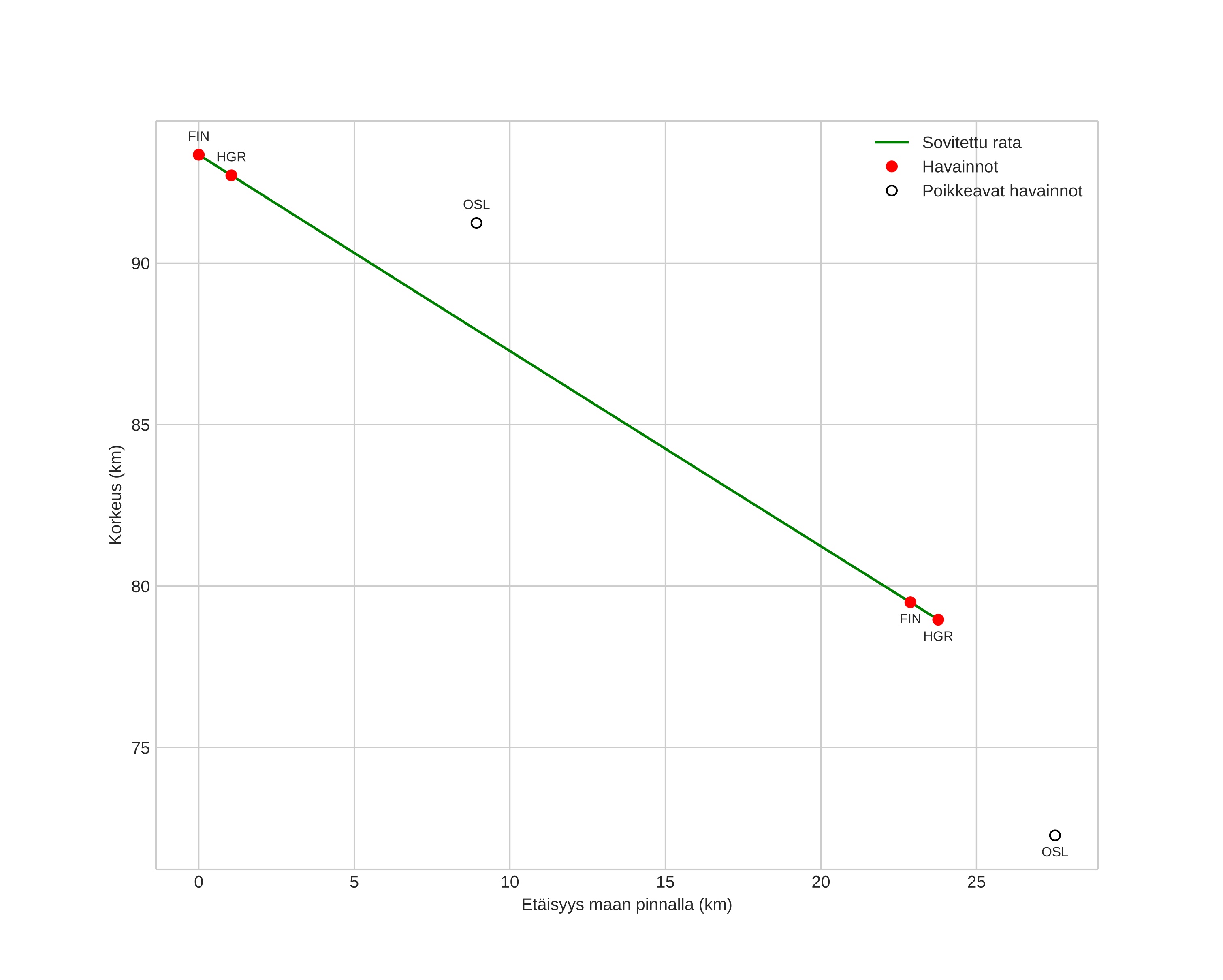
height profile
Meteorin ilmakehärata:
Alkukorkeus: 93,3 km
Loppukorkeus: 79,0 km
Alkupiste: 60,142N 12,542E
Loppupiste: 59,996N 12,229E
Suunta: 226,9°
Kallistuskulma: 31,0°
Tulonopeus: 33,1 km/s
Radiantin R,A,: 16:50 (252,6°)
Radiantin Dekl,: 46,3°
Meteoriparvi: Sporadinen
Meteoroidin rataelementit:
Perihelietäisyys: 0,906 AU
Eksentrisyys: 0,822
Inklinaatio: 47,7°
Nousevan solmun pituus: 257,2°
Perihelin argumentti: 145,4°
Keskianomalia: 2,0°
Epookki: 2024 DEC 09 03:13:45
orbit plot

Ei-interaktiivinen kuvaaja | Interaktiivinen kuvaaja

position vs time
speed and acceleration