🇳🇴 🇬🇧 🇩🇪 🇨🇿 🇫🇮

Meteor, poloha: Sjølyststranda 2024-12-09 21:35:57 UTC

Soubor KML  |  InteraktivnĂ­ mapa

Mapa zobrazuje dráhy meteoru. Světlejší čáry ukazují směry od pozorovacích stanic při objevení se meteoru a tmavší čáry, kde byl naposledy viděn. Modrá šipka značí viditelnou dráhu meteoru.

static map
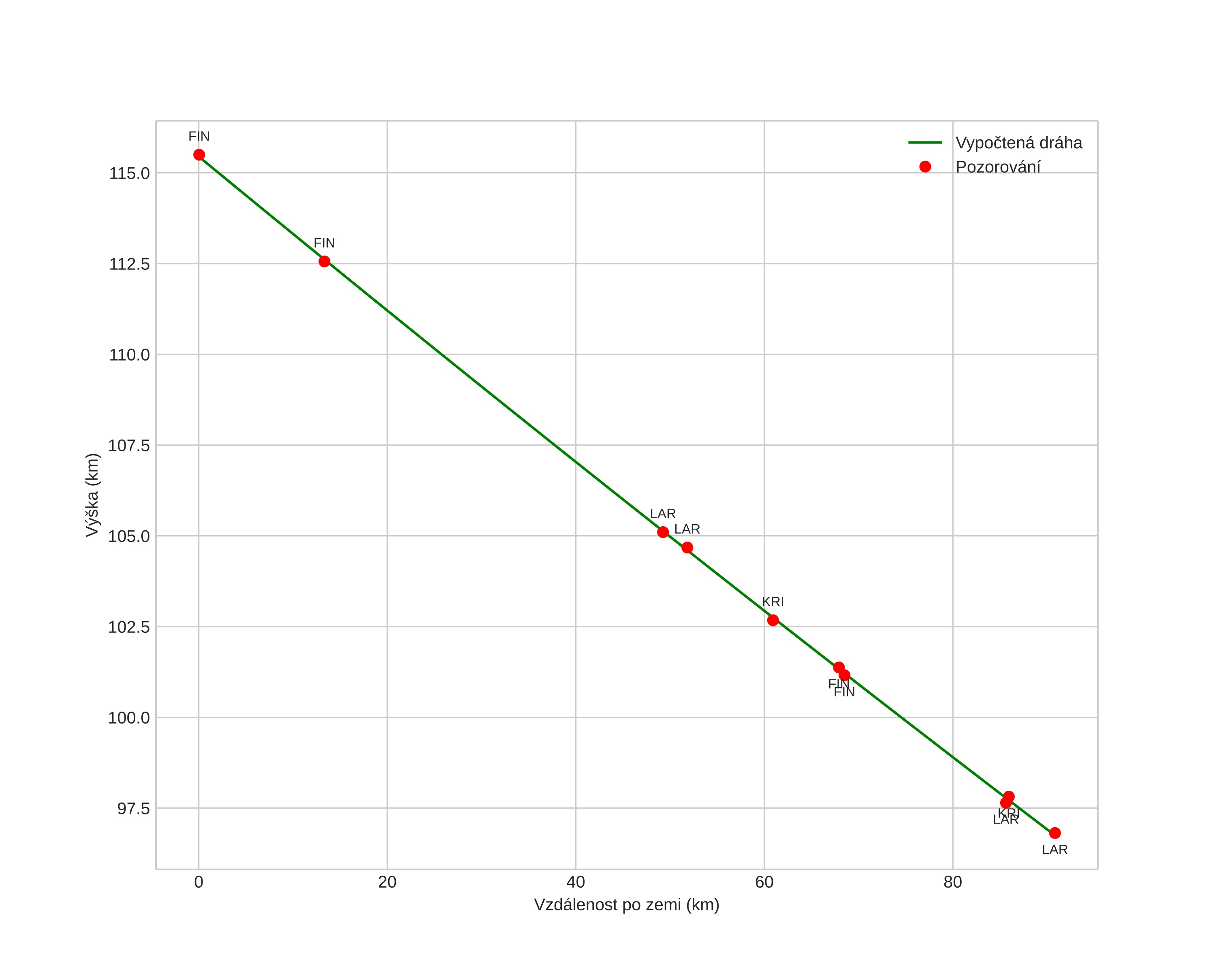
height profile
Atmosférická dráha meteoru:
Počáteční výška: 115,4 km
Konečná výška: 96,8 km
Počáteční poloha: 59,840N 12,280E
Konečná poloha: 60,036N 10,699E
Směr: 284,6°
Sklon: 11,6°
VstupnĂ­ rychlost: 61,4 km/s
Rektascenze radiantu: 08:27 (126,9°)
Deklinace radiantu: 2,2°
MeteorickĂ˝ roj: Sigma Hydridy
Elementy dráhy meteoroidu:
Vzdálenost v periheliu: 0,270 AU
Excentricita: 1,015
Sklon dráhy: 130,5°
Délka vzestupného uzlu: 78,0°
Argument perihelia: 116,1°
Střední anomálie: -0,4°
Epocha: 2024 DEC 09 21:35:57
orbit plot

NeinteraktivnĂ­ graf | InteraktivnĂ­ graf

position vs time
speed and acceleration