🇳🇴 🇬🇧 🇩🇪 🇨🇿 🇫🇮

Meteor Sjølyststrandan yllä 2024-12-09 21:35:57 UTC

KML-tiedosto  |  Interaktiivinen kartta

Kartta näyttää meteorin suuntahavainnot. Vaaleammat viivat näyttävät suunnat havaintoasemilta meteorin ilmestyessä, ja tummemmat viivat näyttävät, missä se viimeksi nähtiin. Sininen nuoli näyttää meteorin näkyvän lennon.

static map
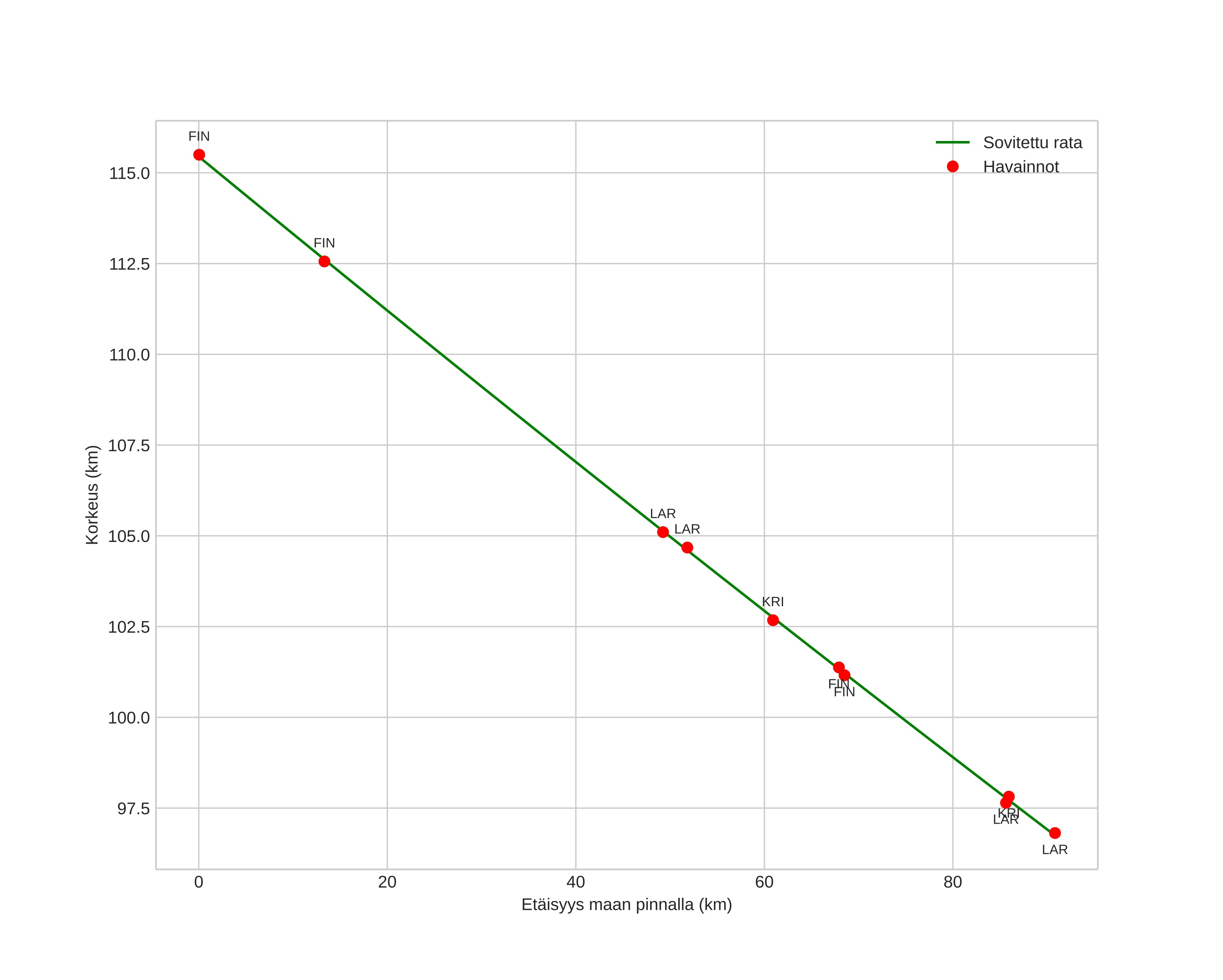
height profile
Meteorin ilmakehärata:
Alkukorkeus: 115,4 km
Loppukorkeus: 96,8 km
Alkupiste: 59,840N 12,280E
Loppupiste: 60,036N 10,699E
Suunta: 284,6°
Kallistuskulma: 11,6°
Tulonopeus: 61,4 km/s
Radiantin R,A,: 08:27 (126,9°)
Radiantin Dekl,: 2,2°
Meteoriparvi: Sigma-hydridit
Meteoroidin rataelementit:
Perihelietäisyys: 0,270 AU
Eksentrisyys: 1,015
Inklinaatio: 130,5°
Nousevan solmun pituus: 78,0°
Perihelin argumentti: 116,1°
Keskianomalia: -0,4°
Epookki: 2024 DEC 09 21:35:57
orbit plot

Ei-interaktiivinen kuvaaja | Interaktiivinen kuvaaja

position vs time
speed and acceleration