🇳🇴 🇬🇧 🇩🇪 🇨🇿 🇫🇮

Meteor, poloha: Hönö 2024-12-09 22:18:25 UTC

Soubor KML  |  InteraktivnĂ­ mapa

Mapa zobrazuje dráhy meteoru. Světlejší čáry ukazují směry od pozorovacích stanic při objevení se meteoru a tmavší čáry, kde byl naposledy viděn. Modrá šipka značí viditelnou dráhu meteoru.

static map
height profile
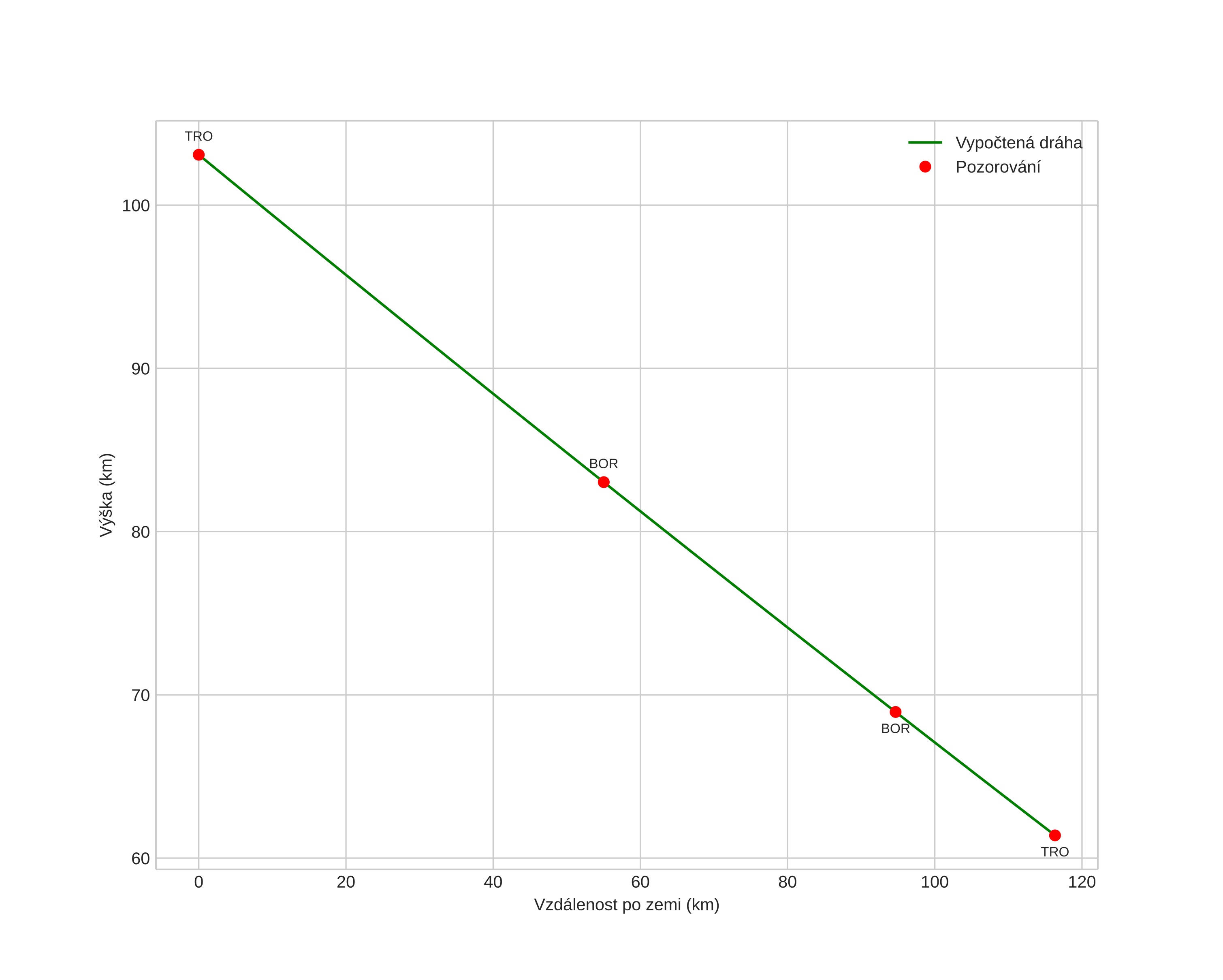
Atmosférická dráha meteoru:
Počáteční výška: 101,8 km
Konečná výška: 60,5 km
Počáteční poloha: 57,270N 13,100E
Konečná poloha: 57,708N 11,343E
Směr: 295,6°
Sklon: 19,6°
VstupnĂ­ rychlost: 65,2 km/s
Rektascenze radiantu: 08:19 (124,9°)
Deklinace radiantu: 3,1°
MeteorickĂ˝ roj: Sigma Hydridy
Elementy dráhy meteoroidu:
Vzdálenost v periheliu: 0,287 AU
Excentricita: 1,146
Sklon dráhy: 131,9°
Délka vzestupného uzlu: 78,0°
Argument perihelia: 109,1°
Střední anomálie: -11,5°
Epocha: 2024 DEC 09 22:18:25
orbit plot

NeinteraktivnĂ­ graf | InteraktivnĂ­ graf

position vs time
speed and acceleration